М
Молодежь
К
Компьютеры-и-электроника
Д
Дом-и-сад
С
Стиль-и-уход-за-собой
П
Праздники-и-традиции
Т
Транспорт
П
Путешествия
С
Семейная-жизнь
Ф
Философия-и-религия
Б
Без категории
М
Мир-работы
Х
Хобби-и-рукоделие
И
Искусство-и-развлечения
В
Взаимоотношения
З
Здоровье
К
Кулинария-и-гостеприимство
Ф
Финансы-и-бизнес
П
Питомцы-и-животные
О
Образование
О
Образование-и-коммуникации
Сыймык111
Сыймык111
15.12.2022 00:09 •  Математика

Решить уравнение: sin^2x-2sinxcos-3 cos^2x=0

👇
Ответ:
jodydonig
jodydonig
15.12.2022
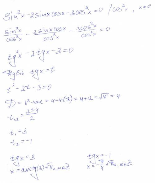
Решение на фото.....

Решить уравнение: sin^2x-2sinxcos-3 cos^2x=0
4,4(14 оценок)
Открыть все ответы
Ответ:
lotosalla1
lotosalla1
15.12.2022
После смерти короля августа iii в речи посполитой началось последнее бескоролевье. к власти стремились две группировки магнатов — «республика» и «фамилия». последнюю возглавляли чарторыйские. на сейм 1764 г., предназначенный для избрания короля, они пригласили российское войско. оно содействовало избранию королем станислава августа понятовского.сейм принял решение не использовать «либерум вето» при рассмотрении вопросов. теперь для этого требовалось большинство голосов шляхетских послов. также была создана скарбовая комиссия вкл, которая контролировала финансы страны. сейм ликвидировал частные пошлины и ввел единую таможенную пошлину: сухопутную и речную. на евреев был введен поголовный налог в размере двух злотых в год с человека. принятые меры содействовали укреплению государственной казны.дальнейшие реформы в стране проводились по инициативе самого короля. личностьстанислав август понятовский (1732-1798) родился в деревне волчин (около бреста). происходил из знаменитого шляхетского рода. получил хорошее образование. много путешествовал по европейским странам. в 1755-1758 гг. он занимал должность секретаря посольства в петербурге, был послом от саксонии и речи посполитой. там сблизился с императрицей екатериной ii, которая оказала ему поддержку. последний король речи посполитой (1764-1795). с 1766 г. в речи посполитой были введены единые меры измерения длины, веса, объема. это содействовало активизации торговли. особое внимание уделялось улучшению путей сообщения. во второй половине xviii в. были построены новые сухопутные тракты, в частности пинско-слонимский и пинско-волынский. проводилась работа по очищению русел рек, строительству мостов, причалов. в 1775—1784 гг. шло строительство королевского (днепровско-бугского) канала, соединившего припять с западным бугом. его длина составила 110 км. открыл судоходство по каналу сам король. вместе со свитой из сорока человек он проплыл на судне, выдолбленном из цельного дубового ствола.
4,5(27 оценок)
Ответ:
катя3868
катя3868
15.12.2022
1) иксы собираем в одну сторону а числа в другую     -5x+6x=6-2;   x=4 ответ: 4 2) раскрываем скобки 4x+5=7x-1;   4x-7x=-1-5;   -3x=-6;   x=6/3=2   ответ: 2 3)  7x-12=4x+18x-27;   7x-22x=-27+12;   15x=15;   x=15/15=1 ответ: 1 4) 47x-28x+21=20x-8; 19x-20x=-8-21;   x=29   ответ 29 5) 7x-9x-15=1-16x+12; 16x-2x=13+15;   14x=28;   x=28/14=2   ответ 2 6)  8x-16+3x-3=11x-19;   11x-11x=-19+18;   x=-1   либо ответ икс равен -1 или нету
4,6(31 оценок)
Это интересно:
Новые ответы от MOGZ: Математика
logo
Вход Регистрация
Что ты хочешь узнать?
Спроси Mozg
Открыть лучший ответ