М
Молодежь
К
Компьютеры-и-электроника
Д
Дом-и-сад
С
Стиль-и-уход-за-собой
П
Праздники-и-традиции
Т
Транспорт
П
Путешествия
С
Семейная-жизнь
Ф
Философия-и-религия
Б
Без категории
М
Мир-работы
Х
Хобби-и-рукоделие
И
Искусство-и-развлечения
В
Взаимоотношения
З
Здоровье
К
Кулинария-и-гостеприимство
Ф
Финансы-и-бизнес
П
Питомцы-и-животные
О
Образование
О
Образование-и-коммуникации
zhelavskaitanya
zhelavskaitanya
19.11.2022 20:48 •  Математика

Интеграл dx/ корень кубический (5+3x)^2

👇
Ответ:
ryenasssss
ryenasssss
19.11.2022
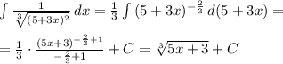
\int { \frac{1}{ \sqrt[3]{(5+3x) ^{2} } } } \, dx= \frac{1}{3} \int { (5+3x) ^{ -\frac{2}{3} } } \, d(5+3x)= \\ \\ = \frac{1}{3}\cdot \frac{(5x+3) ^{- \frac{2}{3}+1 } }{- \frac{2}{3}+1} +C= \sqrt[3]{5x+3}+C
4,6(89 оценок)
Открыть все ответы
Ответ:
kirushinad1
kirushinad1
19.11.2022

ример 1. 2sin(3x - p/4) -1 = 0.

 Решение. Решим уравнение относительно sin(3x - p/4).

sin(3x - p/4) = 1/2, отсюда по формуле решения уравнения sinx = а нахо­дим

3х - p/4 = (-1)n arcsin 1/2 + np, nÎZ.

Зх - p/4 = (-1)n  p/6 + np, nÎZ; 3x = (-1)np/6 + p/4 + np, nÎZ;

x = (-1)n  p/18 + p/12 + np/3, nÎZ

Если k = 2n (четное), то х = p/18 + p/12 + 2pn/3, nÎZ.

Если k = 2n + 1 (нечетное число), то х = - p/18 + p/12 + ((2pn + 1)p)/3 =

= p/36 + p/3 + 2pn/3 = 13p/36 + 2pn/3, nÎz.

ответ: х1 = 5p/6 + 2pn/3,nÎZ, x2 = 13p/36 + 2pn/3, nÎZ,

или в градусах: х, = 25° + 120 · n, nÎZ; x, = 65° + 120°· n, nÎZ.

Пример 2. sinx + Öз cosx = 1.

Решение. Подставим вместо Öз значение ctg p/6, тогда уравнение при­мет вид

sinx + ctg p/6 cosx = 1; sinx + (cosp/6)/sinp/6 · cosx = 1;

sinx sin p/6 + cos p/6 cosx = sin p/6; cos(x - p/6) = 1/2.

По формуле для уравнения cosx = а находим

      х - p/6 = ± arccos 1/2 + 2pn, nÎZ; x = ± p/3 + p/6 + 2pn, nÎZ;

     x1 = p/3 + p/6 + 2pn, nÎZ; x1 = p/2 + 2pn, nÎZ;

     x2 = - p/3 + p/6 + 2pn, nÎZ; x2  = -p/6 + 2pn, nÎZ;

ответ: x1 = p/2 + 2pn, nÎZ;  x2  = -p/6 + 2pn, nÎZ.

4,5(45 оценок)
Ответ:
Juliaaaanaaa
Juliaaaanaaa
19.11.2022

Можно найти площадь 2-ма складывания и вычитания:

складывания:

Разбиваем нашу фигуру на 2 прямоугольника:

 2см на 6см

 2см на 5см(6-1)

Теперь нужно посчитать их площади и добавить их

Площадь первого прямоугольника - 2см * 6см = 12см²

Площадь второго прямоугольника - 2см * 5см = 10см²

Площадь фигуры = 12см + 10см = 22см²

вычитания:

 Посчитаем площадь фигуры вместе с пустотой размером 2см на 1см, а потом вычтем его из большого прямоугольника.

 Площадь большого прямоугольника = 6см * 4см = 24см²

 Площадь пустоты - 2см * 1см = 2см²

 Площадь фигуры = 24см - 2 = 22см²

4,5(8 оценок)
Это интересно:
Новые ответы от MOGZ: Математика
logo
Вход Регистрация
Что ты хочешь узнать?
Спроси Mozg
Открыть лучший ответ