М
Молодежь
К
Компьютеры-и-электроника
Д
Дом-и-сад
С
Стиль-и-уход-за-собой
П
Праздники-и-традиции
Т
Транспорт
П
Путешествия
С
Семейная-жизнь
Ф
Философия-и-религия
Б
Без категории
М
Мир-работы
Х
Хобби-и-рукоделие
И
Искусство-и-развлечения
В
Взаимоотношения
З
Здоровье
К
Кулинария-и-гостеприимство
Ф
Финансы-и-бизнес
П
Питомцы-и-животные
О
Образование
О
Образование-и-коммуникации
элизабет35
элизабет35
02.11.2021 14:57 •  Математика

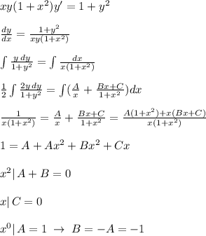
Диффиринциальное уравнение xy(1+x^2)y'=1+y^2

👇
Ответ:
xy(1+x^2)y'=1+y^2\\\\\frac{dy}{dx}=\frac{1+y^2}{xy(1+x^2)}\\\\\int \frac{y\, dy}{1+y^2}=\int \frac{dx}{x(1+x^2)}\\\\\frac{1}{2}\int \frac{2y\, dy}{1+y^2}=\int (\frac{A}{x}+\frac{Bx+C}{1+x^2})dx\\\\\frac{1}{x(1+x^2)}=\frac{A}{x}+\frac{Bx+C}{1+x^2}=\frac{A(1+x^2)+x(Bx+C)}{x(1+x^2)}\\\\1=A+Ax^2+Bx^2+Cx\\\\x^2|\, A+B=0\\\\x|\, C=0\\\\x^0|\, A=1\; \to \; B=-A=-1

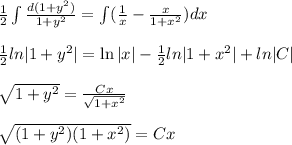
\frac{1}{2}\int \frac{d(1+y^2)}{1+y^2}=\int (\frac{1}{x}-\frac{x}{1+x^2})dx\\\\\frac{1}{2}ln|1+y^2|=\ln|x|-\frac{1}{2}ln|1+x^2|+ln|C|\\\\\sqrt{1+y^2}=\frac{Cx}{\sqrt{1+x^2}}\\\\\sqrt{(1+y^2)(1+x^2)}=Cx
4,7(23 оценок)
Открыть все ответы
Ответ:
kamikot
kamikot
02.11.2021
1.ранняя смерть матери царевны. издалече наконец воротился царь-отец. на него она взглянула, тяжелешенько вздохнула, восхищенья не снесла и к обедне умерла. 2.злая мачеха. год прошел, как сон пустой, царь женился на другой. 3. высока, стройна, бела, и умом и всем взяла; но зато горда, ломлива, своенравна и ревнива. 4.больше всего она любила себя и ценила свою красоту. ей в приданое дано было зеркальце одно; свойство зеркальце имело: говорить оно умело. 5.злой замысел царицы. она, черной зависти полна, бросив зеркальце под лавку, позвала к себе чернавку 6. приказание чернавке отвести царевну в лес «на съедение волкам» . и наказывает ей, сенной девушке своей, весть царевну в глушь лесную и, связав ее, живую под сосной оставить там на съедение волкам. 7. странствие королевича елисея в поисках царевны. королевич елисей, усердно богу, отправляется в дорогу за красавицей-душой, за невестой молодой. 8.жизнь царевны у семи богатырей. дом царевна обошла, всё порядком убрала, засветила богу свечку, затопила жарко печку, на полати взобралась и тихонько улеглась. 9. входят семь богатырей, семь румяных усачей. 10. день за днем идет, мелькая, а царевна молодая всё в лесу, не скучно ей у семи богатырей. 11.появление царицы. видит: нищая черница ходит по двору, клюкой отгоняя пса. 12.переодевшись монахиней, царица появляется у семи богатырей и дает царевне отравленное яблоко. кушай яблочко, мой свет за обед» , — старушоночка сказала, поклонилась и пропала.. 13.смерть царевны и прощание с ней семи богатырей. вдруг она, моя душа, пошатнулась не дыша, белы руки опустила, плод румяный уронила, 14.семь богатырей не стили хоронить царевну «она, как под крылышком у сна, тиха, свежа лежала, что лишь только не дышала. сотворив обряд печальный, вот они во гроб хрустальный труп царевны молодой положили — и толпой понесли в пустую гору 15.королевич отправляется на поиски пропавшей невесты, долго странствовал по свету, спрашивал о царевне у людей, у солнца, у месяца. только ветер указал ему на гору с глубокой пещерой, где находился гроб с царевной. там за речкой тихоструйной есть высокая гора, в ней глубокая нора; в той норе, во тьме печальной, гроб качается хрустальный 16.королевич находит невесту. перед ним, во мгле печальной, гроб качается хрустальный, и в хрустальном гробе том спит царевна вечным сном. 17.увидев мертвую царевну, королевич в отчаянии ударяется о хрустальный гроб, гроб разбился и царевна ожила. гроб разбился. дева вдруг ожила. глядит вокруг изумленными глазами, и, качаясь над цепями, привздохнув, произнесла: «как же долго я спала! » 18.смерть злобной мачехи. узнав, что царевна жива, мачеха умирает от тоски и злости. злая мачеха, вскочив, об пол зеркальце разбив, в двери прямо побежала и царевну повстречала. тут ее тоска взяла, 19.свадьба царевны и королевича елисея. свадьбу тотчас учинили, и с невестою своей обвенчался елисей; и никто с начала мира не видал такого пира; я там был, мед, пиво пил, да усы лишь обмочил(можешь выбрать не всё, удачи)  
4,7(78 оценок)
Ответ:
ирок511
ирок511
02.11.2021
1кинематика изучает, как движется тело, но не изучает, почему тело движется так, а не иначе. 3 уравнение движения частицы представляет собой уравнение в левой части которого стоит ускорение пробной частицы умноженное на массу частицы (в данном случае это инертная масса) , в правой части уравнения стоит гравитационная сила. гравитационная сила, в свою очередь, представляет из себя произведение масс 4 * аффинная (косоугольная) система координат * барицентрические координаты * биангулярные координаты * биполярные координаты * бицентрические координаты * бицилиндрические координаты * конические координаты * координаты риндлера — в пространстве минковского * параболические координаты * полярная система координат * проективные координаты * прямоугольная (декартова) система координат * сферическая система координат * тороидальная система координат * трилинейные координаты * цилиндрическая система координат * цилиндрические параболические координаты * эллипсоидальные координаты (эллиптические координаты) 5 число степеней свободы определяет минимальное количество независимых переменных (обобщённых координат) , необходимых для полного описания движения. обобщенные координаты-независимые между собой параметры qi (i=1, 2, ..s) любой размерности, число s которых равно числу степеней свободымеханической системы и которые однозначно определяют положение системы впространстве. 7 основными кинематическими характеристиками движущейся точки являются её скорость и ускорение 8 при движении тела по окружности мгновенную скорость называют линейной скоростью. линейная скорость тела, равномерно движущегося по окружности, оставаясь постоянной по модулю, меняется по направлению и в любой точке направлена по касательной к траектории. модуль линейной скорости можно определить по формуле: v = . пусть тело, двигаясь по окружности радиусом r, совершило один полный оборот, тогда пройденный им путь равен длине окружности: l = 2pr, а время равно периоду обращения t 9 тангенциальное ускорение характеризует быстроту изменения скорости движения по численному значению и направлена по касательной к траектории. нормальное ускорение характеризует быстроту изменения скорости по направлению 10 угловой скоростью называют величину, равную отношению угла поворота радиуса-вектора к промежутку времени, за которое этот поворот произошел. углово́е ускоре́ние — псевдовекторная величина, характеризующая быстроту изменения угловой скорости твёрдого тела угол поворота в современной , как величина, только оценивается в единицах плоского угла. для определения же значения плоского угла φ пользуются уравнениями, принятыми в . это либо уравнение φ = s/r 11 ответ. v=w*r; w=2*pi*n; at=e*r; an=(w^2)*r=(v^2)/r=w*v; s(t)=s0+v0*t+0,5*a*t^2; u(t)=u0+w0*t+0,5*e*t^2; v(t)=v0+a*t; w(t)=w0+e*t;
4,7(29 оценок)
Это интересно:
Новые ответы от MOGZ: Математика
logo
Вход Регистрация
Что ты хочешь узнать?
Спроси Mozg
Открыть лучший ответ