М
Молодежь
К
Компьютеры-и-электроника
Д
Дом-и-сад
С
Стиль-и-уход-за-собой
П
Праздники-и-традиции
Т
Транспорт
П
Путешествия
С
Семейная-жизнь
Ф
Философия-и-религия
Б
Без категории
М
Мир-работы
Х
Хобби-и-рукоделие
И
Искусство-и-развлечения
В
Взаимоотношения
З
Здоровье
К
Кулинария-и-гостеприимство
Ф
Финансы-и-бизнес
П
Питомцы-и-животные
О
Образование
О
Образование-и-коммуникации
pollvasiltv
pollvasiltv
17.10.2020 08:02 •  Математика

Втреугольнике abc угол c равен 90, sina=3/5.найдите cosa

👇
Ответ:
хюрем3
хюрем3
17.10.2020
CosA=√(1-sin²A)=√(1-9/25)=√(16/25)=4/5
4,4(71 оценок)
Ответ:
сима666
сима666
17.10.2020
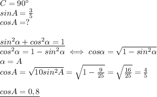
C=90^{\circ} \\ 
sinA= \frac{3}{5} \\ 
cosA=? \\ \\ 
\underline{sin^2\alpha+cos^2\alpha =1 } \\ 
cos^2\alpha =1-sin^2\alpha \iff cos\alpha= \sqrt{1-sin^2\alpha} \\ 
\alpha =A \\ 
cosA= \sqrt{10sin^2A}= \sqrt{1- \frac{9}{25} }= \sqrt{ \frac{16}{25} }= \frac{4}{5} \\ 
 \\ 
\underline{cosA=0,8 }
4,6(59 оценок)
Открыть все ответы
Ответ:
аленагут1
аленагут1
17.10.2020
Дано:
вишня + малина = 160 бан.
малина+клубника = 142 бан.
вишня+клубника = 154 бан.
вишня-? бан.
малина - ? бан.
клубника - ? бан.
1) 160+142+154=456 (бан. варенья) - каждый из трёх видов которого повторяется 2 раза (В+М+М+К+В+К=2В+2М+2К).
2) 456:2=228 (бан.) - варенья каждого вида всего.
3) 228-154=74 (бан.) - малинового варенья (поскольку мы вычли вишневое + клубничное=154)
4) 160-74=86 (бан.)-вишневого варенья (поскольку в+м=160; в=160-м)
5) 154-86=68 (бан.)-клубничного варенья (поскольку в+к=164; к =164-в)
ответ: 74 банки малинового варенья; 86 банок вишневого варенья; 68 банок клубничного варенья.
4,8(83 оценок)
Ответ:
zhanik2017
zhanik2017
17.10.2020
Однажды в 4 классе мне очень сильно понравился(ась) один мальчик (девочка). близился день Святого Валентина и я очень хотел(а) подарить ему (ей) валентинку. решил(а) положить валентинку ему (ей) в пенал. четырнадцатого февраля я так и сделал(а). начался урок и я был(а) в предкушении. он(а) увидел(а) эту валентинку, прочитал(а) её и с ухмылкой на лице порвал(а) валентинку. я растроился(ась) и на этом он(а) мне больше не нравился(ась). вот такой была моя первая любовь, которая запомнилась мне на всю жизнь
4,8(50 оценок)
Новые ответы от MOGZ: Математика
logo
Вход Регистрация
Что ты хочешь узнать?
Спроси Mozg
Открыть лучший ответ