М
Молодежь
К
Компьютеры-и-электроника
Д
Дом-и-сад
С
Стиль-и-уход-за-собой
П
Праздники-и-традиции
Т
Транспорт
П
Путешествия
С
Семейная-жизнь
Ф
Философия-и-религия
Б
Без категории
М
Мир-работы
Х
Хобби-и-рукоделие
И
Искусство-и-развлечения
В
Взаимоотношения
З
Здоровье
К
Кулинария-и-гостеприимство
Ф
Финансы-и-бизнес
П
Питомцы-и-животные
О
Образование
О
Образование-и-коммуникации
PolinaRomanova174
PolinaRomanova174
24.11.2021 15:04 •  Математика

Примеры решить а*100+7*10+n ? х *1000+у *100+зет *10+ф

👇
Ответ:
urasaya
urasaya
24.11.2021
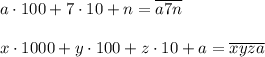
Если  a,n,x,y.z  -  цифры, то записанные выражения - числа.

a\cdot 100+7\cdot 10+n=\overline{a7n}\\\\x\cdot 1000+y\cdot 100+z\cdot 10+a=\overline{xyza}
4,5(39 оценок)
Открыть все ответы
Ответ:
Nutmi
Nutmi
24.11.2021

Обозначим первоначальное количество - Х.

Тогда можно записать два уравнения.

1) х + а = 1/8*V

2) x - a = 3/20*V

Решаем систему уравнений.

Сложим два уравнения и получим 3)

3) 2*x = (1/8 + 3/20)*V = 11/40*V

Находим неизвестное - Х

4) X = 11/40 : 2 = 11/80 - было - ОТВЕТ

Вычтем уравнения - 1) - 2) = 5)

5) 2*а = (1/8 -3/20)*V = - 1/40

Находим неизвестное - а

6) a = 1/40 : 2 = -1/80  - изменение - ОТВЕТ

ПРОВЕРКА

11/80 + (- 1/80) = 10/80 = 1/8 - правильно

11/80 + 1/80 = 12/80 = 3/20 - правильно

Дополнительно

а - отрицательное число.  

Добавить = отлить, а отлить = добавить. Всё наоборот

4,6(52 оценок)
Ответ:
margaret1967m
margaret1967m
24.11.2021

1) Рассуждаем так- проекция, это значит перпендикуляр из этой точки на прямую. Точка пересечения этого перпендикуляра с прямой и даст проекцию точки Р

2) С другой стороны, какая разница, на чём лежит точка Р-на перпендикуляре из точки на данную прямую, или на другой прямой, которая проходит через точку Р и в тоже время перпендикулярна прямой данной в условии? Никакой!

3) Вы ,конечно, помните что угловые коэффициенты перпендикулярных прямых обратны по абсолютной величине и противоположны по знаку.

4) по условию дано уравнение 12x-5y-2=0 или у=2,4х-0,4

  Здесь вы сразу заметили, что его угловой коэффициент равен 2,4

  Тогда угловой коэффициент перпендикулярной прямой(с точкой Р) будет равен -1/2,4=-5/12

5) Теперь, естественно, надо найти уравнение той самой перпендикулярной прямой. Вы ,конечно, уже поняли, что в общем виде это уравнение выглядит как:

у-У=к(х-Х) или у-3=(-5/12)·(x+7/5)  или у-3=(-5/12х) - 7/12  или                         у=(-5/12x)+29/12.

6) И для чего мы с вами городили весь этот "огород?"

А для того, что уже имея два уравнения прямых найти требуемую точку их пересечения. А в этой точке они равны(координаты х и у будут являться корнями обеих уравнений прямых)

7) Итак:   2,4х-0,4=(-5/12x)+29/12.

отсюда х=1, тогда у=2,4·1-0,4=2

ответ: Р(1;2)

Здоровья и удачи!

Пошаговое объяснение:

4,7(47 оценок)
Это интересно:
Новые ответы от MOGZ: Математика
logo
Вход Регистрация
Что ты хочешь узнать?
Спроси Mozg
Открыть лучший ответ