М
Молодежь
К
Компьютеры-и-электроника
Д
Дом-и-сад
С
Стиль-и-уход-за-собой
П
Праздники-и-традиции
Т
Транспорт
П
Путешествия
С
Семейная-жизнь
Ф
Философия-и-религия
Б
Без категории
М
Мир-работы
Х
Хобби-и-рукоделие
И
Искусство-и-развлечения
В
Взаимоотношения
З
Здоровье
К
Кулинария-и-гостеприимство
Ф
Финансы-и-бизнес
П
Питомцы-и-животные
О
Образование
О
Образование-и-коммуникации
nikitagiop
nikitagiop
24.08.2022 14:36 •  Математика

Если не , то влепят ! 6 построй модель и найд ответ: сумма трёх чисел равна18. первое число в 3.5 раза больше чем второе, а третье число на 4.8 больше второго. найти эти числа . ( решение с пусть)

👇
Ответ:
fefe228
fefe228
24.08.2022
Пусть:
2 число х,тогда,
1 число равно 3,5х
3 число равно х+4,8
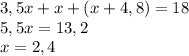
3,5x+x+(x+4,8)=18\\5,5x=13,2\\x=2,4
2,4 -второе число,
2,4*3,5=8,4 -первое число
2,4+4,8=7,2 -третье число
ответ:8,4 ;2,4 ;7,2
4,8(76 оценок)
Открыть все ответы
Ответ:
алгебра171
алгебра171
24.08.2022

Докажем это с метода математической индукции. Пусть чисел будет не 5, а n. 
База При n = 1 утверждение очевидно. Действительно, число 200 никак не может оканчиваться на 2009.
Переход Пусть утверждение уже доказано для n = k. Покажем, как тогда доказать его для n = k + 2, если k >= 1. По принципу Дирихле, так как кольцо вычетов по модулю 2 содержит всего 2 элемента, два из чисел дадут одинаковый остаток при делении на 2. Как известно, сумма этих чисел пренепременно окажется четной. Не менее широко известно, что разность двух четных чисел четна. Понятно, что утверждение можно с числа 200 обобщить до любого четного числа, ведь число 2009 нечетно, а четное число не может быть равно нечетному. Обобщим утверждение еще сильнее. Если сумма n чисел четна, то их произведение не может быть нечетно. В таком случае переход становится очевиден из того, что, как нетрудно убедиться, произведение четного и любого чисел четно.

Итак, утверждение верно для n = 1, значит оно верно для n = 3, откуда немедленно следует его справедливость для n = 5, а именно это и требовалось доказать. 

4,4(44 оценок)
Ответ:
SokolDev
SokolDev
24.08.2022

Докажем это с метода математической индукции. Пусть чисел будет не 5, а n. 
База При n = 1 утверждение очевидно. Действительно, число 200 никак не может оканчиваться на 2009.
Переход Пусть утверждение уже доказано для n = k. Покажем, как тогда доказать его для n = k + 2, если k >= 1. По принципу Дирихле, так как кольцо вычетов по модулю 2 содержит всего 2 элемента, два из чисел дадут одинаковый остаток при делении на 2. Как известно, сумма этих чисел пренепременно окажется четной. Не менее широко известно, что разность двух четных чисел четна. Понятно, что утверждение можно с числа 200 обобщить до любого четного числа, ведь число 2009 нечетно, а четное число не может быть равно нечетному. Обобщим утверждение еще сильнее. Если сумма n чисел четна, то их произведение не может быть нечетно. В таком случае переход становится очевиден из того, что, как нетрудно убедиться, произведение четного и любого чисел четно.

Итак, утверждение верно для n = 1, значит оно верно для n = 3, откуда немедленно следует его справедливость для n = 5, а именно это и требовалось доказать. 

4,8(67 оценок)
Это интересно:
Новые ответы от MOGZ: Математика
logo
Вход Регистрация
Что ты хочешь узнать?
Спроси Mozg
Открыть лучший ответ