М
Молодежь
К
Компьютеры-и-электроника
Д
Дом-и-сад
С
Стиль-и-уход-за-собой
П
Праздники-и-традиции
Т
Транспорт
П
Путешествия
С
Семейная-жизнь
Ф
Философия-и-религия
Б
Без категории
М
Мир-работы
Х
Хобби-и-рукоделие
И
Искусство-и-развлечения
В
Взаимоотношения
З
Здоровье
К
Кулинария-и-гостеприимство
Ф
Финансы-и-бизнес
П
Питомцы-и-животные
О
Образование
О
Образование-и-коммуникации
nazarenkolavrenyuk
nazarenkolavrenyuk
28.05.2022 07:07 •  Математика

Что-нибудь еще можно сделать с этой дробью (ну к примеру сократить там) или нет?

👇
Ответ:
милка328
милка328
28.05.2022
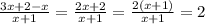
\frac{3x+2-x}{x+1} = \frac{2x+2}{x+1} = \frac{2(x+1)}{x+1} =2
4,5(50 оценок)
Открыть все ответы
Ответ:
Monstrozacrs
Monstrozacrs
28.05.2022

невозможно

Пошаговое объяснение:

Для удобства введем понятие "суммарное положение" монет на прямоугольном поле. Этим понятием обозначим сумму всех порядковых номеров клеток с монетами (если на клетке две монеты, считаем эту клетку дважды, а если три - то трижды).

То есть для некоего заданного положения монет на клетках А, В и С суммарное положение будет равно

S = A + B + C

В начале суммарное положение монет равно:

20 + 21 + 2021 = 2062

Если мы обязательно перемещаем 2 монеты, из положения А, В, С, то:

одну - перемещаем вправо, увеличивая номер её поля на 1,

другую - перемещаем влево, уменьшая ее номер поля на 1,

третью монету - не трогаем.

Значит, суммарное положение у нас будет:

(А+1) + (В-1) + С = A+B+C + 1 - 1 = A + B + C

т.е. суммарное положение не изменяется при любом перемещении монет согласно условиям!

А значит, суммарное положение монет равно:

20 + 21 + 2021 = 2062

Для любого момента и этапа игры.

Допустим, мы собрали все монеты на одном поле Х.

В этом случае суммарное положение останется тем же и будет выглядеть так:

Х + Х + Х = 2062

3Х = 2062

Т.е. нлмер поля будет:

Х = 2062÷3

Однако число 2062 на 3 не делится!

Следовательно, такого поля, где мы собрали бы все 3 монеты играя согласно условиям -

- НЕ СУЩЕСТВУЕТ!

Сделать так, чтобы все три монеты оказались в одной клетке - НЕВОЗМОЖНО

4,6(6 оценок)
Ответ:
ника2092
ника2092
28.05.2022

Все 3 задачи на совместную работу. Тут надо учесть, что вся работа принимается за 1.

1.1-я бригада может выполнить задание за 21 ч,а 2-я -за 28 ч. Какую часть задания выполнят бригады за 1 ч совместной работы?

Пусть вся работа = 1

Тогда 1-я бригада за1 час делает 1/21 часть работы, а 2-я за 1 час выполнит 1/28 часть работы. Вместе за 1 час они выполнят

1/21 +1/28 =4/84 + 3/84 = 7/84 = 1/12 ( часть работы)

2.Через 1-ю трубу бак наполняется за 45 мин,а через 2-ю -за 36 мин.За сколько минут наполнится бак через обе эти трубы?

Пусть весь  объём бака = 1

Тогда 1-я труба за 1 мин заполняет 1/45 бака, а 2-я за 1 минуту заполняет 1/36 бака.

Вместе обе трубы за 1 минуту заполнят 1/45 + 1/36 = 4/180 + 5/180 = 9/180 = 1/20 (бака) .  Каждую минут - 1/20 бака!

ответ: 20 минут

3.1-я бригада может выполнить задание за 20 дней,а 2-я-за 25 дней.За сколько дней бригады выполнят задание при совместной работе

пусть вся работа = 1. Тогда 1-я бригада выполняет за 1 день 1/20 всего задания, а 2-я за 1 день выполняет 1/25 всего задания. Вместе они за 1 день выполнят 1/20 + 1/25 = 5/100 + 4/100 = 9/100( всего задания).  1:9/100 = 100/9 = 11 1/9 (дней)

4,4(15 оценок)
Это интересно:
Новые ответы от MOGZ: Математика
logo
Вход Регистрация
Что ты хочешь узнать?
Спроси Mozg
Открыть лучший ответ