М
Молодежь
К
Компьютеры-и-электроника
Д
Дом-и-сад
С
Стиль-и-уход-за-собой
П
Праздники-и-традиции
Т
Транспорт
П
Путешествия
С
Семейная-жизнь
Ф
Философия-и-религия
Б
Без категории
М
Мир-работы
Х
Хобби-и-рукоделие
И
Искусство-и-развлечения
В
Взаимоотношения
З
Здоровье
К
Кулинария-и-гостеприимство
Ф
Финансы-и-бизнес
П
Питомцы-и-животные
О
Образование
О
Образование-и-коммуникации
albina227
albina227
31.03.2023 23:33 •  Математика

Решить . оринка пройшла всю рухому дорiжку в аэропортi за 5 хв., а потiм повернулася по нiй за 1хв.,крокуючи з тiєю самою швидкiстью.знайди швидкiсть руху дорiжки й власну швидкiсть оринки, якщо довжина дорiжки 120м.

👇
Ответ:
луч16
луч16
31.03.2023
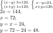
Х м/хв - швидкість Оринки, у м/хв - швідкість рухомої доріжки.\
\left \{ {{(x-y)\cdot5=120,} \atop {(x+y)\cdot1=120;}} \right. \left \{ {{x-y=24,} \atop {x+y=120;}} \right. \\ 2x=144, \\ x=72; \\ y=x-24, \\ y=72-24=48.
48 м/хв і 72 м/хв.
4,7(49 оценок)
Открыть все ответы
Ответ:
marvin4547
marvin4547
31.03.2023

Дано:

S(прямоугольник)=a*b=108 см²

d(диагональ)=15 см

Найти: длины сторон прямоугольника a=? см, b=? см

Решение:

Диагональ делит прямоугольник на 2 равных прямоугольных треугольника, где a и b - катеты, d (с) - гипотенуза. Каждый из треугольников имеет площадь S=1/2ab=1/2*108=54 cм²

  По теореме Пифагора,

a²+b²=c²

a²+b²=15² см

{a²+b²=225

{a*b=108 => a=108/b

108/b)²+b²=225

11664/b²+b²=225  Привести к общему знаменателю:

11664+b⁴-225b²=0 Произвести замену неизвестного:

t=b²

t²-225t+11664=0

D=(-225)²-4*11664=50625-46656=3969     √3969=63

t₁=(225+63)/2=144

t₂=(225-63)/2=81

b₁=√t₁=12

b₂=√t₂=9

a₁=108/12=9

a₂=108/9=12

ответ: длины сторон прямоугольника a=12 cм, b=9 cм, или, наоборот: a=9 см, b=12 см, потому. что, при перестановке множителей произведение не меняется: 12*9=108 = 9*12=108

Проверка: S(прямоугольного треугольника) = 1/2ab

                  S=54 cм²

                  (1/2)*12*9=108/2=54 см²

Подробнее - на -

Пошаговое объяснение:

4,6(86 оценок)
Ответ:
Denkuzo176
Denkuzo176
31.03.2023

1. сумма углов треугольника равны =180 градусам. Отсюда: 1. 180 - (31+24)= 125

2. 2+7+9=18

180:18=10

10*2=20° -- величина первого угла

10*7=70° -- величина второго угла

10*9=90° -- величина третьего угла

3. У равнобедренного треугольника углы при основании равны, значит угол при вершине =180-(29+29)=122 градуса

4. Известно, что треугольник равнобедренный, а углы при основании в равнобедренном треугольнике равны, соотвественно

7х - угол при вершине  

х - при основании.

7х + 2х =180

9х=180  

х=20    7х = 140  

соотвественно остальные углы по 20 градусов

5 угол С равен 180 - 20 -120 = 40 .  ответ 20 , 40.

4,6(74 оценок)
Это интересно:
Новые ответы от MOGZ: Математика
logo
Вход Регистрация
Что ты хочешь узнать?
Спроси Mozg
Открыть лучший ответ