М
Молодежь
К
Компьютеры-и-электроника
Д
Дом-и-сад
С
Стиль-и-уход-за-собой
П
Праздники-и-традиции
Т
Транспорт
П
Путешествия
С
Семейная-жизнь
Ф
Философия-и-религия
Б
Без категории
М
Мир-работы
Х
Хобби-и-рукоделие
И
Искусство-и-развлечения
В
Взаимоотношения
З
Здоровье
К
Кулинария-и-гостеприимство
Ф
Финансы-и-бизнес
П
Питомцы-и-животные
О
Образование
О
Образование-и-коммуникации
crystall5555
crystall5555
13.10.2022 21:42 •  Математика

Из данных неравенств выберите верное. 1)4 2/7> 4 1/2. 2)4 2/7> 4 3/19 3)4 2/7> 4 2/3 4)4 2/7> 4 3/4

👇
Ответ:
polyhovichvikto
polyhovichvikto
13.10.2022
1)4\frac{2}{7} = \frac{30}{7}= \frac{30*2}{7*2} =\frac{60}{14} 


4 \frac{1}{2} = \frac{9}{2} = \frac{9*7}{2*7} =\frac{63}{14}
неравенство неверно
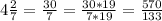
2)4 \frac{2}{7} = \frac{30}{7} = \frac{30*19}{7*19} =\frac{570}{133}
4 \frac{3}{19} = \frac{79}{19} = \frac{79*7}{19*7} = \frac{553}{133}
неравенство верно
Из данных неравенств выберите верное. 1)4 2/7> 4 1/2. 2)4 2/7> 4 3/19 3)4 2/7> 4 2/3 4)4 2/
4,4(7 оценок)
Открыть все ответы
Ответ:
RushShru
RushShru
13.10.2022

Популяция – это группа особей одного вида. Каждый из таких организмов занимает строго ограниченное и определенное место обитания. Иными словами, популяция – это семейство особей, которые входят в состав конкретного биоценоза. Для свободноживущих форм границы распространения относительно территории обусловлены такими факторами, как рельеф, климат и пр. Для паразитических организмов преградой расселения являются при и жизненный цикл. На сегодняшний день изучение популяции в основном проводится для выявления генетических или экологических последовательностей. Это позволяет определить среду выживания видов и их наследственность. На данный момент существует еще одно понятие - «клеточная популяция». Это изолированное потомство конкретной по числу группы клеток. Изучением этой сферы занимаются специалисты в рамках цитологии.

4,4(90 оценок)
Ответ:
532настя43510
532настя43510
13.10.2022

Популяция – это группа особей одного вида. Каждый из таких организмов занимает строго ограниченное и определенное место обитания. Иными словами, популяция – это семейство особей, которые входят в состав конкретного биоценоза. Для свободноживущих форм границы распространения относительно территории обусловлены такими факторами, как рельеф, климат и пр. Для паразитических организмов преградой расселения являются при и жизненный цикл. На сегодняшний день изучение популяции в основном проводится для выявления генетических или экологических последовательностей. Это позволяет определить среду выживания видов и их наследственность. На данный момент существует еще одно понятие - «клеточная популяция». Это изолированное потомство конкретной по числу группы клеток. Изучением этой сферы занимаются специалисты в рамках цитологии.

4,5(84 оценок)
Новые ответы от MOGZ: Математика
logo
Вход Регистрация
Что ты хочешь узнать?
Спроси Mozg
Открыть лучший ответ