М
Молодежь
К
Компьютеры-и-электроника
Д
Дом-и-сад
С
Стиль-и-уход-за-собой
П
Праздники-и-традиции
Т
Транспорт
П
Путешествия
С
Семейная-жизнь
Ф
Философия-и-религия
Б
Без категории
М
Мир-работы
Х
Хобби-и-рукоделие
И
Искусство-и-развлечения
В
Взаимоотношения
З
Здоровье
К
Кулинария-и-гостеприимство
Ф
Финансы-и-бизнес
П
Питомцы-и-животные
О
Образование
О
Образование-и-коммуникации
mulz
mulz
30.11.2020 20:47 •  Математика

{6x^2-29x+30> > 0 {5x+2> 3x^2 решить систему неравенства

👇
Ответ:
Антон2004111
Антон2004111
30.11.2020

Правильное условие смотри в приложении.

\displaystyle \begin{Bmatrix}6x^2 -29x+30\le 0\\ 3x^2 -5x-2

\displaystyle \begin{Bmatrix}3x\cdot 2x-3x\cdot 3-10\cdot 2x-10\cdot (-3)\le 0\\ x\cdot 3x+x-6x-2

\displaystyle \begin{Bmatrix}3x(2x-3)-10(2x-3)\le 0\\ x(3x+1)-2(3x+1)

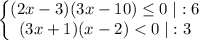
\displaystyle \begin{Bmatrix}(2x-3)(3x-10)\le 0\; |:6\\ (3x+1)(x-2)

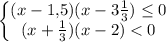
\displaystyle \begin{Bmatrix}(x-1,\! 5)(x-3\frac13 )\le 0\\ (x+\frac13 )(x-2)

Решим методом интервалов (смотри во второе приложение).

ответ: x ∈ [1,5; 2).


{6x^2-29x+30> > 0 {5x+2> 3x^2 решить систему неравенства
{6x^2-29x+30> > 0 {5x+2> 3x^2 решить систему неравенства
4,7(8 оценок)
Открыть все ответы
Ответ:
pro100miss
pro100miss
30.11.2020

Есть много сказок, которые учат быть смелыми, честными, добрыми. Героям «Сказки о потерянном времени», которую написал Е.Л. Шварц, тоже понадобились эти качества. Но они не прекрасную принцессу, а свое время, украденное злыми волшебниками. Бездельники и лентяи, они превратились из младшеклассников в старичков, и только тогда поняли, как важно «ценить время». Время не прощает пустой траты, мимо пролетает целая жизнь. Чтобы вернуться в молодость, героям пришлось о многом подумать, изменить свои привычки, научиться бороться.

Я советую всем познакомиться с этим поучительным произведением. Приключения старичков-младшеклассников заставят вас не только переживать за судьбу героев, но взглянуть на себя со стороны.

4,4(22 оценок)
Ответ:
Artem228133
Artem228133
30.11.2020
Би́блия— собрание древних текстов, созданных на Ближнем Востоке на протяжении 15 веков (XIII в. до н. э. — II в. н. э.). Является Священным Писанием для двух религий — иудаизма и христианства, где канонизирована частично или полностью.Библия состоит из многих частей, объединяемых в Ветхий Завет и Новый Завет.Ветхий Завет. Первая, по времени создания, часть Библии в иудаизме называется Танах, в христианстве она получила название Ветхий завет, в отличие от «Нового». Используется также название — «еврейская Библия». Эта часть Библии представляет собой собрание книг, написанных на еврейском языке задолго до нашей эры и отобранных в качестве священных из прочей литературы древнееврейскими законоучителями. Эта часть Библии является общим Священным Писанием как для иудаизма, так и для христианства.
Ветхий Завет состоит из 39 книг, в еврейской традиции искусственно считаемых за 22, по числу букв еврейского алфавита, или за 24, по числу букв алфавита греческого. Все 39 книг Ветхого Завета разделяются в иудаизме на три отдела.
Первый называется «Учение» (Тора) и содержит Пятикнижие Моисея: Бытие, Исход, Книга Левит, Книга Чисел, Второзаконие.
Второй отдел, под названием «Пророки», обнимает книги: Иисуса Навина, Книга Судей, 1-ю и 2-ю кн. Царств, или Книга Самуила (считаются за одну книгу), 3-ю и 4-ю кн. Царств, или Книга Царей (считаются за одну книгу), Исаии, Иеремии, Иезекииля, кн. Двенадцати малых пророков (считаются за одну книгу).
К третьему отделу под названием: «Писания» принадлежат: Книга Иова, Книга Руфь, Псалмы, Книга Притчей Соломоновых, Песнь Песней, Книга Екклесиаста, Книга Даниила, Плач Иеремии, Книга Ездры и Неемии (считаются за одну книгу), 1-я и 2-я Паралипоменон (считаются за одну книгу) и Книга Есфири. Соединяя кн. Руфь с кн. Судей в одну книгу, а также Плач Иеремии с кн. Иеремия, получим вместо 24 книг 22. Двадцать две священных книги и считали в своем каноне древние евреи, как свидетельствует Иосиф Флавий. Таков состав и порядок книг в еврейской Библии.
Все эти книги считаются каноническими и в церкви христианской.
Новый Завет
Основная статья: Новый Завет
Вторая часть христианской Библии — Новый завет, — собрание из 27 христианских книг (включающее 4 Евангелия, послания Апостолов и книгу Откровение Иоанна Богослова), написанных в I в. н. э. и дошедших до нас на древнегреческом языке. Эта часть Библии наиболее важна для христианства, в то время, как иудаизм боговдохновенной её не считает.
Новый Завет состоит из 27 кн., принадлежащих восьми боговдохновенным писателям: Матвею, Марку, Луке, Иоанну, Петру, Павлу, Иакову и Иуде. Книги Нового Завета, как и кн. Ветхого Завета, по содержанию распадаются на три отдела: книги исторические — сюда принадлежат четыре Евангелия и кн. Деяний Апостольских; книги учительные — сюда принадлежат послания апостольские; к отделу кн. пророческих принадлежит только одна книга — Апокалипсис.
В славянской и русской Библии книги Нов. Зав. размещены в следующем порядке: Евангелия — Матфея, Марка, Луки, Иоанна, Деяния Апостольские Луки, Послания Иакова, 1-е Петра, 2-е Петра, 1-е Иоанна, 2-е Иоанна, 3-е Иоанна, Иуды и далее Четырнадцать Посланий Апостола Павла в таком порядке: к Римлянам, 1-е к Коринфянам, 2-е к Коринфянам, к Галатам, к Ефесянам, к Филиппийцам, к Колоссянам, 1-е к Фессалоникийцам, 2-е к Фессалоникийцам, 1-е к Тимофею, 2-е к Тимофею, к Титу, к Филимону, к Евреям и, наконец, откровение Иоанна Богослова.
4,8(74 оценок)
Это интересно:
Новые ответы от MOGZ: Математика
logo
Вход Регистрация
Что ты хочешь узнать?
Спроси Mozg
Открыть лучший ответ