М
Молодежь
К
Компьютеры-и-электроника
Д
Дом-и-сад
С
Стиль-и-уход-за-собой
П
Праздники-и-традиции
Т
Транспорт
П
Путешествия
С
Семейная-жизнь
Ф
Философия-и-религия
Б
Без категории
М
Мир-работы
Х
Хобби-и-рукоделие
И
Искусство-и-развлечения
В
Взаимоотношения
З
Здоровье
К
Кулинария-и-гостеприимство
Ф
Финансы-и-бизнес
П
Питомцы-и-животные
О
Образование
О
Образование-и-коммуникации
DOGY228
DOGY228
02.09.2020 11:23 •  Математика

Найти площадь фигуры, ограниченой линиями y=x^2+2, x=-1 , x=2,y=0​

👇
Ответ:
Равб
Равб
02.09.2020

Дано:  

y1 = x²+2, y2 = - 1 - функции.

a = - 1 - нижний предел

b = 2 - верхний предел

Найти: S=? - площадь.

Пошаговое объяснение:

Площадь - интеграл разности функций.

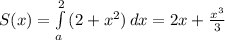
S(x)=\int\limits^2_a {(2+x^2)} \, dx=2x+\frac{x^3}{3}

Вычисляем.

S(2) = 4 + 2 2/3 = 6 2/3

S(-1) = - 2 - 1/3 = -2 1/3

S = 6 2/3 - 2 1/3 = 9 - площадь - ответ

4,4(91 оценок)
Открыть все ответы
Ответ:
nmigutsa
nmigutsa
02.09.2020
Дано:
5 кг хлопка - 100 м ткани
Найти:
300 м ткани - ? кг хлопка
Решение
Из 5 кг хлопка можно изготовить 100 м батистовой ткани. Рассчитаем с пропорции сколько нужно хлопка, чтобы изготовить 300 м батистовой ткани:
5 кг хлопка - 100 метров ткани
? кг хлопка - 300 метров ткани
5×300÷100=1500÷100=15 кг хлопка
ОТВЕТ: чтобы изготовить 300 метров батистовой ткани необходимо 15 кг хлопка

или
1) Посчитаем сколько раз по 100 метров ткани нужно взять, чтобы получить 300 метров ткани:
300÷100=3 (раза)
2) Чтобы изготовить 100 метров ткани нужно 5 кг хлопка, чтобы изготовить в 3 раза больше ткани, нужно в 3 раза больше хлопка:
3×5=15 (кг хлопка)
ответ: чтобы изготовить 300 метров ткани нужно 15 кг хлопка
4,4(87 оценок)
Ответ:
0m1ib6c
0m1ib6c
02.09.2020
На Северо-Западном Кав­казе общественно-экономические процессы, включая Кавказскую войну, при всем сходстве с районами Большого Кавказа, протекали своеобразно. В XVIII — первой половине XIX в. основу организации обще­ственной жизни адыгских племен составляла сель­ская община («псухо»)430. Это отмечали не только советские, но и дореволюционные историки, указав­шие на позднее (первая половина XIX в,)431 проис­хождение территориальной общины и господство в ней родовой организации432. Соотношение «родового» и «территориального» в адыгской общине по Ф. И, Леонтовичу выражалось в следующем: «Об­щина... еще не успела вытеснить из народной жизни старые родовые формы... роды... раздробились по общинам на части, живут разбросанно по разным местам, часто значительно удаленным одно от дру­гого»433. Подобная «реорганизация» родовой общины в территориальную в столь сжатые сроки (за полстолетие!) не представлялась возможной. Вместе с тем не подлежит сомнению, что именно к этому периоду относится интенсивный процесс формирова­ния территориальной общины. В XIX в. адыгское «псухо», сочетавшее родовые элементы с принципами сельской общины, являло собой общину переходного типа434. Такие общины, как адыгскую, К. Маркс от­носил к промежуточной стадии между первичной формацией и вторичной435. Подобная оценка особен­но применима к так называемым «демократическим» племенам, наиболее отчетливо сохранившим черты древних родовых отношений436. У этих племен груп­па родственных семей, связанных общим происхож­дением по мужской линии, составляла род — «ачих», — членов которого объединяла обязанность кровной мести и взаимо Ачих» имел ряд хозяйственных функций: обработка земли, предо­ставление во временное пользование сельскохозяй­ственных орудий, решение вопросов о сроках пахоты и сева438. Основной же единицей в социально-эко­номической структуре «демократических» племен бы­ла патронимическая семья. По данным М. А. Меретукова, «большой дом» в шапсугской общине представ­лял собой хозяйственный и идеологический центр Состоявшая из 50 и более членов, адыгская семья отличалась устойчивостью, объяснявшейся скотовод­ческим направлением хозяйственной деятельности «демократических» племен; для лучшей организации содержания и охраны скота «сохранялся» не только «большой дом», но и создавались «союзы» численно небольших семей. «Большой дом» был тесно связан с «ачих» (родом) традиционными общими обязанностями — взаимо кровной местью, сохра­нявшимися формами родовой собственности (напри­мер, общие мельницы)440. Родовое единство давало о себе знать также в сфере землевладения и земле­пользования. Патронимические семьи у «демократиче­ских» племен стремились иметь заделы земли в не­посредственной близости от членов своего клана. При совместной обработке земли, широко практико­вавшейся у «демократических» племен, объединялись по 4 и более семьи. Такое объединение, называв­шееся «зэцей», делило общий урожай посемейно441. Это не исключало, однако, существование у шапсу­гов и натухайцев «автономных» семейных земледель­ческих хозяйств442. «Автономность» последних была едва заметна, когда возникали вопросы, входящие в компетенцию общины — раздел земли, использова­ние орудий труда и т. д. Впрочем, и здесь многое оставалось неясным; наряду с родовыми порядками можно было заметить устои индивидуальной семьи. Иначе говоря, патронимическая семья продолжала сохранять с «ачих» тесное единство не только в куль­турных традициях, но и в реальных производствен­ных взаимосвязях. Наиболее высокой формой об­щественной организации адыгов являлись «братства» («тлеух»), ты можешь найти всё в интернете!
4,6(49 оценок)
Новые ответы от MOGZ: Математика
logo
Вход Регистрация
Что ты хочешь узнать?
Спроси Mozg
Открыть лучший ответ