М
Молодежь
К
Компьютеры-и-электроника
Д
Дом-и-сад
С
Стиль-и-уход-за-собой
П
Праздники-и-традиции
Т
Транспорт
П
Путешествия
С
Семейная-жизнь
Ф
Философия-и-религия
Б
Без категории
М
Мир-работы
Х
Хобби-и-рукоделие
И
Искусство-и-развлечения
В
Взаимоотношения
З
Здоровье
К
Кулинария-и-гостеприимство
Ф
Финансы-и-бизнес
П
Питомцы-и-животные
О
Образование
О
Образование-и-коммуникации
Диана149018
Диана149018
13.09.2021 23:05 •  Математика

Tgx+3=4ctg tgx+3-4ctgx=0 tgx+3-4(1/tgx)=0 правильно? а дальше?

👇
Ответ:
mrsos22
mrsos22
13.09.2021
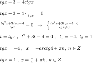
tgx+3=4ctgx\\\\tgx+3-4\cdot \frac{1}{tgx}=0\\\\\frac{tg^2x+3tgx-4}{tgx}=0\; \; \to \; \; \left \{ {{tg^2x+3tgx-4=0} \atop {tgx\ne 0}} \right. \\\\t=tgx\; ,\; \; t^2+3t-4=0\; ,\; \; t_1=-4,\; t_2=1\\\\tgx=-4\; ,\; \; x=-arctg4+\pi n,\; n\in Z\\\\tgx=1\; ,\; x=\frac{\pi}{4}+\pi k,\; k\in Z\\
4,7(51 оценок)
Открыть все ответы
Ответ:
anilin2002
anilin2002
13.09.2021
1. функциональные требования заключаются в том, чтобы предохранить человека от неблагоприятных атмосферных воздействий, обеспечить оптимальные температурные условия. одежда должна украшать человека, скрывать его недостатки.2)эргономические требования к одежде связаны с , антропометрическими и другими особенностями человека. одежда должна быть удобной и создавать ощущение комфорта, она не должна утомлять и вызывать снижение работоспособности.3)антропометрические требования - одежда должна соответствовать росту, размеру, полноте покупателя. одежду должно быть удобно снимать, надевать, застегивать, утюжить, изменять размеры и т. п. большое значение в одежде имеет степень свободы облегания изделием фигуры, она обеспечивается соответствующими величинами прибавок или припусков.4)гигиенические требования предъявляются к одежде для обеспечения нормальной жизнедеятельности организма человека. одежда должна обеспечивать человеку свободу движений, не мяться, легко надеваться и сниматься. к гигиеническим требованиям относятся: теплозащитность, гигроскопичность, паро- и воздухопроницаемость, водонепроницаемость. эстетические требования заключаются в том, чтобы одежда была удобной, красивой. соответствовала моде, чтобы цвет, фасон и в целом стиль одежды создавали гармоничный облик. одежда должна соответствовать современному стилю и моде.
4,5(15 оценок)
Ответ:
Настя6890
Настя6890
13.09.2021
1подчеркните подобные слагаемые в сумме  4р-10.5m+(-1/3ap)-qm+207p-(30.1pm)207p и 4р 2 выражение, сложив подобные слагаемые.a)-3m+19m-)= 7mб)x+0.65x+(2.75)+(0.65x)-x= 2,75 + 1,3хв)13/17a-16/17n-3/17a+9/17a=  -16/17n + 1 целая 2/17 3 подобные слагаемые  a)7/12m+5/9n-1,1/2m-2/3n= -11/12m+11/9nб)-p+1.02q-23/25q-2.5p+1,1/8p=24/25q-2.3754 раскройте скобки в выражении и подобные слагаемые  a)18(4-2a)+5(7a-9)=72-36а+35а-45=27-аб)-6(3x-5)+5(-6+10x)=-18х+30-30+50х=68хотметьте как лучшее, прошу! )
4,6(18 оценок)
Это интересно:
Новые ответы от MOGZ: Математика
logo
Вход Регистрация
Что ты хочешь узнать?
Спроси Mozg
Открыть лучший ответ