М
Молодежь
К
Компьютеры-и-электроника
Д
Дом-и-сад
С
Стиль-и-уход-за-собой
П
Праздники-и-традиции
Т
Транспорт
П
Путешествия
С
Семейная-жизнь
Ф
Философия-и-религия
Б
Без категории
М
Мир-работы
Х
Хобби-и-рукоделие
И
Искусство-и-развлечения
В
Взаимоотношения
З
Здоровье
К
Кулинария-и-гостеприимство
Ф
Финансы-и-бизнес
П
Питомцы-и-животные
О
Образование
О
Образование-и-коммуникации
aiis17
aiis17
20.07.2021 18:53 •  Математика

Можно, , подробное решение,

\left \{ {{2x-y^{2}+y = 0} \atop {y-2x-1=0}} \right.

👇
Ответ:
LilllOOo
LilllOOo
20.07.2021

\left \{ {{2x-y^{2}+y = 0} \atop {y-2x-1=0}} \right.

Решим систему методом сложения:

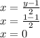
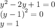
{y}^{2} - 2y + 1 = 0 \\ {(y - 1)}^{2} = 0 \\ y = 1

Теперь найдем x, подставив значение y во вторую строку системы:

x = \frac{y - 1}{2} \\ x = \frac{1 - 1}{2} \\ x = 0

ответ: (0; 1).

4,4(3 оценок)
Открыть все ответы
Ответ:

Думаю, что задача звучит так:

Гульмира едет со скоростью 63 км/час. Через 120 минут следом за ней со скоростью 88 км/час выехал Усен. Через сколько часов расстояние между ними будет равно 21 км?

Пошаговое объяснение:

120 минут = 2 часа

1) 63 · 2 = 126 (км) - проедет Гульмира за 2 часа.

2) 126 - 21 = 105 (км) - надо проехать Усену, чтобы расстояние до Гульмиры стало равным 21 км.

3) 88 - 63 = 25 (км/ч) - скорость сближения Гульмиры и Усена.

4) 105 : 25 = 4,2 (часа) - время, через которое расстояние между Гульмирой и Усеном будет 21 км.

4,2 часа = 4 часа 12 минут.

ответ: 4 часа 12 минут.

4,8(93 оценок)
Ответ:
Лапулька111
Лапулька111
20.07.2021

1. Один из титанов древнегреческой мифологии

2. Прометей знал что в земной почве погребены и семена льна небо и захотел их оживить. взяв кусок сырой глины Он создал из неё форму похожую на образ прекрасных богов чтобы оживить Пока ещё безжизненный кусок глины он взял у животных их злые и добрые чувства и вложил их в грудь своего творения так и произошли первые люди

3. Долгое время они были жалки и слабы как маленькие дети

4. Прометей постепенно научил их строит жилища, охотиться на животных, переплывать на лодках моря и реки, считать и наблюдать за движением небесных светил

5. Он открыл им свойства золота, железа, серебра и научил их находить

6.Зевс (но это не точно)

Пошаговое объяснение:

4,4(31 оценок)
Это интересно:
Новые ответы от MOGZ: Математика
logo
Вход Регистрация
Что ты хочешь узнать?
Спроси Mozg
Открыть лучший ответ