М
Молодежь
К
Компьютеры-и-электроника
Д
Дом-и-сад
С
Стиль-и-уход-за-собой
П
Праздники-и-традиции
Т
Транспорт
П
Путешествия
С
Семейная-жизнь
Ф
Философия-и-религия
Б
Без категории
М
Мир-работы
Х
Хобби-и-рукоделие
И
Искусство-и-развлечения
В
Взаимоотношения
З
Здоровье
К
Кулинария-и-гостеприимство
Ф
Финансы-и-бизнес
П
Питомцы-и-животные
О
Образование
О
Образование-и-коммуникации
умница06092006
умница06092006
18.05.2023 18:53 •  Математика

Корень из (2х+3)=х, нужно найти больший корень.

👇
Ответ:
fofanchuk
fofanchuk
18.05.2023
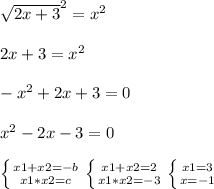
\sqrt{2x+3} = x ⇒ Возводим обе стороны в квадрат ⇒

\sqrt{2x+3} ^{2} = x^{2} \\ \\ 2x+3 = x^{2} \\ \\ - x^{2} +2x+3 =0 \\ \\ x^{2} -2x-3=0 \\ \\ \left \{ {{x1+x2=-b} \atop {x1*x2=c }} \right. \left \{ {{x1+x2=2} \atop {x1*x2=-3}} \right. \left \{ {{x1=3} \atop {x=-1}} \right.

Так как нужно найти больший корень ( по условию), то выбираем больший из них: ⇒ 3.

ответ: 3
4,8(68 оценок)
Открыть все ответы
Ответ:
logvlad9
logvlad9
18.05.2023
1. Для решения задачи найдем сколько рублей стоит компьютерная игра. 159 + 114 + 87 = 360 рублей. 2. Вычислим по сколько рублей должны были сброситься ребята поровну. 360 / 3 = 120 рублей. 3. Найдем на сколько рублей должен вернуть Антону Боря, если известно, что он дал 114 рублей. 120 - 114 = 6 рублей. 4. Узнаем сколько рублей должен отдать Антону Витя, если известно, что он внес в складчину 87 рублей. 120 - 87 = 33 рубля. ответ: Антону Боря должен отдать шесть рублей, а Витя тридцать три рубля.
4,6(34 оценок)
Ответ:
natalinatark
natalinatark
18.05.2023
1. Для решения задачи найдем сколько рублей стоит компьютерная игра. 159 + 114 + 87 = 360 рублей. 2. Вычислим по сколько рублей должны были сброситься ребята поровну. 360 / 3 = 120 рублей. 3. Найдем на сколько рублей должен вернуть Антону Боря, если известно, что он дал 114 рублей. 120 - 114 = 6 рублей. 4. Узнаем сколько рублей должен отдать Антону Витя, если известно, что он внес в складчину 87 рублей. 120 - 87 = 33 рубля. ответ: Антону Боря должен отдать шесть рублей, а Витя тридцать три рубля.
4,7(25 оценок)
Новые ответы от MOGZ: Математика
logo
Вход Регистрация
Что ты хочешь узнать?
Спроси Mozg
Открыть лучший ответ