М
Молодежь
К
Компьютеры-и-электроника
Д
Дом-и-сад
С
Стиль-и-уход-за-собой
П
Праздники-и-традиции
Т
Транспорт
П
Путешествия
С
Семейная-жизнь
Ф
Философия-и-религия
Б
Без категории
М
Мир-работы
Х
Хобби-и-рукоделие
И
Искусство-и-развлечения
В
Взаимоотношения
З
Здоровье
К
Кулинария-и-гостеприимство
Ф
Финансы-и-бизнес
П
Питомцы-и-животные
О
Образование
О
Образование-и-коммуникации
faa7
faa7
18.11.2022 15:28 •  Математика

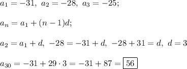
Найдите тридцатый член артфмет прогрессии-31; -28; -25

👇
Ответ:
SophiaSaliuk
SophiaSaliuk
18.11.2022
a_1 = -31, \ a_2 = -28, \ a_3 = -25;\\\\
a_n = a_1 + (n - 1)d;\\\\
a_2 = a_1 + d, \ -28 = -31 + d, \ -28 + 31 = d, \ d = 3\\\\
a_{30} = -31 + 29\cdot 3 = -31 + 87 = \boxed{56}
4,7(79 оценок)
Открыть все ответы
Ответ:
kotlarovaira9
kotlarovaira9
18.11.2022

2f(x), а, значит, и функция f(x).

Пошаговое объяснение:

Мы воспользуемся следующими свойствами непрерывных функций:

(1) сумма и разность непрерывных функций — непрерывные функции;

(2) если g(x) — непрерывная функция, функция g(ax) также непрерывна.

Теперь заметим, что по условию непрерывны функции f(x) + f(2x) и f(x) + f(4x), а в силу свойства (2) вместе с функцией f(x) + f(2x) непрерывна и функция f(2x) + f(4x).

Далее, по свойству (1) непрерывна функция (f(x) + f(2x)) + (f(x) + f(4x)) – (f(2x) + f(4x)) = 2f(x), а, значит, и функция f(x).

4,6(45 оценок)
Ответ:
vlad2411
vlad2411
18.11.2022

Матема́тика — наука об отношениях между объектами, о которых ничего не известно, кроме описывающих их некоторых свойств, — именно тех, которые в качестве аксиом положены в основание той или иной математической теории. Исторически сложилась на основе операций подсчёта, измерения и описания формы объектов. Математические объекты создаются путём идеализации свойств реальных или других математических объектов и записи этих свойств на формальном языке. Математика не относится к естественным наукам, но широко используется в них как для точной формулировки их содержания, так и для получения новых результатов. Математика — фундаментальная наука, предоставляющая языковые средства другим наукам; тем самым она выявляет их структурную взаимосвязь и нахождению самых общих законов природы.

Пошаговое объяснение:

4,4(73 оценок)
Это интересно:
Новые ответы от MOGZ: Математика
logo
Вход Регистрация
Что ты хочешь узнать?
Спроси Mozg
Открыть лучший ответ