М
Молодежь
К
Компьютеры-и-электроника
Д
Дом-и-сад
С
Стиль-и-уход-за-собой
П
Праздники-и-традиции
Т
Транспорт
П
Путешествия
С
Семейная-жизнь
Ф
Философия-и-религия
Б
Без категории
М
Мир-работы
Х
Хобби-и-рукоделие
И
Искусство-и-развлечения
В
Взаимоотношения
З
Здоровье
К
Кулинария-и-гостеприимство
Ф
Финансы-и-бизнес
П
Питомцы-и-животные
О
Образование
О
Образование-и-коммуникации
stesha24
stesha24
27.02.2023 16:53 •  Математика

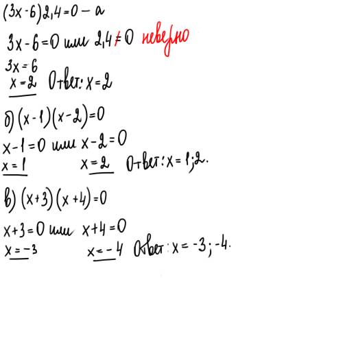
Решите уравнение использовав свойство произведения равного нулю 4×(х-5)=0 -8×(2,6+х)=0. 1,5×(41-х)=0 (3х-6)×2,4=0

👇
Ответ:
levkovich023
levkovich023
27.02.2023
*********))))))..........
Решите уравнение использовав свойство произведения равного нулю 4×(х-5)=0 -8×(2,6+х)=0. 1,5×(41-х)=0
4,4(42 оценок)
Ответ:
rebecca332
rebecca332
27.02.2023
Произведение равенства ровна 50 кмм в час
4,7(96 оценок)
Открыть все ответы
Ответ:
avfvffg
avfvffg
27.02.2023
Как писал в своих воспоминаниях Б. Окуджава: „Первоначально авторская песня была своего рода протестом против поверхностного искусства, имитации чувств. Она противостояла развлекательной эстрадной песни, для которой важны главным образом ритм, пестрота, световые эффекты, доходчивые слова. Развлекательная песня -- явление музыкальное, авторская -- прежде всего -- литературное. Авторская песня родилась из серьезных раздумий о жизни человека, может быть, трагических, из острых сюжетов, из клокотания души. Из этого родилась, этим и стала известна...“ 

И все-таки, бардовская песня -- это не просто песня, это триединство музыки, поэзии и исполнения. В них как бы утверждается свободная, неподцензурная, самостоятельная жизненная позиция, отсюда -- исповедальность жанра, спонтанность, естественность, неотделимость автора от аудитории, атмосфера задушевного разговора, чувство общности, что делает авторскую песню формой духовного общения единомышленников. 

Эти песни -- для друзей. В них есть удивительно добрая сила. Сила, которая выстоять слабым и обрести уверенность растерявшимся. На иную песню можно опереться, как на плечо, потому что есть какая-та особая человеческая надежность в этих песнях.
4,7(98 оценок)
Ответ:
tlplusp02d7u
tlplusp02d7u
27.02.2023
1) Б.
2) На 210.
3) 2ч 37мин 24сек = 9444сек
9444сек - 2321сек = 7123сек
4) 1) 55 - 8*2 = 39(лет) - отцу и сыну вместе сейчас
    2) 39 - 21 = 18(лет) - двойной возраст сына
    3) 18 : 2 = 9(лет)
ответ: сейчас сыну 9 лет.
5) Цифра 7.
6) 1) 180*22 = 3960(гр.) - в 1 коробке
    2) 72кг = 72000 гр.
    3) 72000 : 3960 = 18(кор.) ( ост. 720)
ответ: 19 коробок потребуется, чтобы перевезти 72 кг мыла.
7) Вычитаемое = уменьшаемое - разность
    Вычитаемое = уменьшаемое(+28) - разность(-27)
    Вычитаемое = 27 + 28 = 55
ответ: вычитаемое увеличилось на 55.
8) 3. 
4,8(7 оценок)
Новые ответы от MOGZ: Математика
logo
Вход Регистрация
Что ты хочешь узнать?
Спроси Mozg
Открыть лучший ответ