М
Молодежь
К
Компьютеры-и-электроника
Д
Дом-и-сад
С
Стиль-и-уход-за-собой
П
Праздники-и-традиции
Т
Транспорт
П
Путешествия
С
Семейная-жизнь
Ф
Философия-и-религия
Б
Без категории
М
Мир-работы
Х
Хобби-и-рукоделие
И
Искусство-и-развлечения
В
Взаимоотношения
З
Здоровье
К
Кулинария-и-гостеприимство
Ф
Финансы-и-бизнес
П
Питомцы-и-животные
О
Образование
О
Образование-и-коммуникации
Серг4й
Серг4й
25.11.2020 18:28 •  Математика

(x² + 6x)²≤49 сколько целых решений имеет неравенство?

👇
Ответ:
Romabl4
Romabl4
25.11.2020

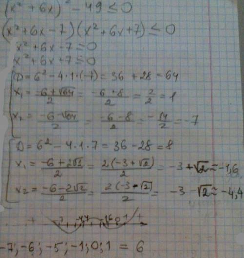
(x² + 6x)²≤49

(x² + 6x)²-49≤0

(x² + 6x)²-7²≤0 разность квадратов...дальше - на фото

ответ: 6 целых чисел являются решением данного неравенства


(x² + 6x)²≤49 сколько целых решений имеет неравенство? ​
4,7(65 оценок)
Ответ:
superogurec002
superogurec002
25.11.2020

6 целых решений.

Пошаговое объяснение:

(x² + 6x)²≤49

(x² + 6x)² - 49 ≤ 0

(x²+6x -7)(x²+6x +7)≤0

Разложим на множители каждый из трёхчленов:

x² + 6x - 7 = (х + 7)(х - 1)

D = 36 + 28 = 64

x1 = -7

x2 = 1

x² + 6x + 7 = (х + 3 -√2)(х + 3 + √2)

D = 36 - 28 = 8

x1 = (-6 +2√2):2 = -3+√2,

x2 = (-6 -2√2):2 = -3-√2.

Получим

(х+7)(х-1)(х+3-√2)(х+3+√2) ≤0

Отмечаем на числовой прямой найденные корни трёхчленов, решаем неравенство методом интервалов.

+[-7]-[-3-√2]+[-3+√2]-[1]+>

х∈[-7; -3-√2]∪[-3+√2;1]

-7; -6; -5; -1; 0; 1 - целые решения неравенства.

4,4(59 оценок)
Открыть все ответы
Ответ:
Dashaegor540
Dashaegor540
25.11.2020

116798

Пошаговое объяснение:

Ну смотри, здесь все просто.

Первое: Всегда выполняется действие в скобках.

Второе: Смотрим, есть ли умножение или деление в скобках (Не важно даже, скобки есть или нет. Всегда умножение или деление , выполняется первым)

Видим, что есть умножение, значит первым действием является 1289*9 = 11601

Третье: Продолжаем выполнять действие в скобках, после умножения идет вычитания 70000-11601 = 58399

Четвертое: Когда выполнили действие в скобках, переходим к последнему действию. 58399 * 2 = 116798

4,7(17 оценок)
Ответ:
olga2610
olga2610
25.11.2020

Два круга пересекаются и у них общая хорда АВ.

Один круг с центром О₁ и радиусом О₁А=О₁В=R₁.

Второй круг с центром О₂ и радиусом О₂А=О₂В=R₂.

Градусная мера дуги измеряется градусной мерой центрального угла.

Значит <АО₁В=60° и <АО₂В=120°.

Из ΔАО₁В по т.косинусов найдем АВ:

АВ²=R₁²+R₁²-2R₁*R₁*cos 60=2R₁²-2R₁²*1/2=R₁²

Аналогично из ΔАО₂В по т.косинусов найдем АВ:

АВ²=R₂²+R₂²-2R₂*R₂*cos 120=2R₁²-2R₁²*(-1/2)=3R₂².

Приравниваем R₁²=3R₂²

Площадь первого круга S₁=πR₁²=π*3R₂²

Площадь второго круга S₂=πR₂²

Отношение площадей S₁/S₂=π*3R₂²/πR₂²=3/1

ответ: 3:1

4,4(87 оценок)
Это интересно:
Полный доступ к MOGZ
Живи умнее Безлимитный доступ к MOGZ Оформи подписку
logo
Вход Регистрация
Что ты хочешь узнать?
Спроси Mozg
Открыть лучший ответ