М
Молодежь
К
Компьютеры-и-электроника
Д
Дом-и-сад
С
Стиль-и-уход-за-собой
П
Праздники-и-традиции
Т
Транспорт
П
Путешествия
С
Семейная-жизнь
Ф
Философия-и-религия
Б
Без категории
М
Мир-работы
Х
Хобби-и-рукоделие
И
Искусство-и-развлечения
В
Взаимоотношения
З
Здоровье
К
Кулинария-и-гостеприимство
Ф
Финансы-и-бизнес
П
Питомцы-и-животные
О
Образование
О
Образование-и-коммуникации
daviduk2509
daviduk2509
30.03.2020 13:01 •  Математика

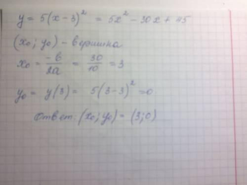
Найти координаты вершины параболы у=5(х-3)^2 y=-(x-1)^2 y=-2(x+5)^2

👇
Ответ:
FunGamer741
FunGamer741
30.03.2020
Пишите, если что не так
Найти координаты вершины параболы у=5(х-3)^2 y=-(x-1)^2 y=-2(x+5)^2
Найти координаты вершины параболы у=5(х-3)^2 y=-(x-1)^2 y=-2(x+5)^2
4,5(73 оценок)
Открыть все ответы
Ответ:
1232955
1232955
30.03.2020
1.они идут навстречу
100+80=180 м/мин- скорость сближения
180*4=720- пройдут
800-720=80 -будет м/у ними
2. Они идут в противоволоженные стороны
100+80=180м/мин-совместная скорость
180*4=720- пройдут
800+720=1520 -будет м/у ними
3.Быстрый идет за медленным
100-80=20м/мин- скорость сближения, вернее "догоняния" (не знаю, как у Вас наз-ся)
20*4=80м- сокращение расстояния
800-80=720м-будет м/у ними
4. Медленный идет за быстрым
100-80=20м/мин- скорость удаления
20*4=80м- увеличение расстояния
800+80=880м-будет м/у ними
4,4(8 оценок)
Ответ:
andreykakachnov
andreykakachnov
30.03.2020
1.они идут навстречу
100+80=180 м/мин- скорость сближения
180*4=720- пройдут
800-720=80 -будет м/у ними
2. Они идут в противоволоженные стороны
100+80=180м/мин-совместная скорость
180*4=720- пройдут
800+720=1520 -будет м/у ними
3.Быстрый идет за медленным
100-80=20м/мин- скорость сближения, вернее "догоняния" (не знаю, как у Вас наз-ся)
20*4=80м- сокращение расстояния
800-80=720м-будет м/у ними
4. Медленный идет за быстрым
100-80=20м/мин- скорость удаления
20*4=80м- увеличение расстояния
800+80=880м-будет м/у ними
4,6(40 оценок)
Это интересно:
Новые ответы от MOGZ: Математика
logo
Вход Регистрация
Что ты хочешь узнать?
Спроси Mozg
Открыть лучший ответ