М
Молодежь
К
Компьютеры-и-электроника
Д
Дом-и-сад
С
Стиль-и-уход-за-собой
П
Праздники-и-традиции
Т
Транспорт
П
Путешествия
С
Семейная-жизнь
Ф
Философия-и-религия
Б
Без категории
М
Мир-работы
Х
Хобби-и-рукоделие
И
Искусство-и-развлечения
В
Взаимоотношения
З
Здоровье
К
Кулинария-и-гостеприимство
Ф
Финансы-и-бизнес
П
Питомцы-и-животные
О
Образование
О
Образование-и-коммуникации
Olesya15551
Olesya15551
02.08.2022 12:24 •  Математика

Найдите решение систем уравнений (3-7х)у + 7у(х+9)= 264 х(4-у)=у(8-х)-34

👇
Ответ:
nurbo55555555551
nurbo55555555551
02.08.2022
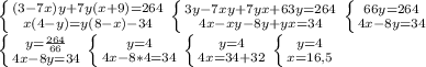
\left \{ {{(3-7x)y+7y(x+9)=264} \atop {x(4-y)=y(8-x)-34}} \right. \left \{ {{3y-7xy+7yx+63y=264} \atop {4x-xy-8y+yx=34}} \right. \left \{ {{66y=264} \atop {4x-8y=34}} \right. \\ \left \{ {{y= \frac{264}{66} } \atop {4x-8y=34}} \right. \left \{ {{y=4} \atop {4x-8*4=34}} \right. \left \{ {{y=4} \atop {4x=34+32}} \right. \left \{ {{y=4} \atop {x=16,5}} \right.
4,4(20 оценок)
Открыть все ответы
Ответ:
SaBzZiRo
SaBzZiRo
02.08.2022
Гимнастика (греч. γυμναστική [gymnastike], от γυμνάζω [gymnazo] — упражняю, тренирую; по другой версии от др.-греч. γυμνός [gymnos] — голый, обнажённый) — один из наиболее популярных видов спорта и физической культуры. К спортивным видам гимнастики относятся: спортивная, художественная, акробатическая, эстетическая, командная, аэробическая гимнастика. Соревнования по гимнастике в Солт Лейк Сити, Юта. Оздоровительные виды гимнастики предусматривают выполнение упражнений в режиме дня в виде упражнений утренней гимнастики, физкультуры, физкульт минутки в учебных заведениях и на производстве. Существует несколько видов оздоровительной гимнастики: Гигиеническая гимнастика — используется для сохранения и укрепления здоровья, поддержания на высоком уровне физической и умственной работо общественной активности. Ритмическая гимнастика — разновидность оздоровительной гимнастики. Важным элементом ритмической гимнастики является музыкальное сопровождение.
4,8(100 оценок)
Ответ:
Руфат2856
Руфат2856
02.08.2022
1) окр-ть 360°минутная стрелка преодолевает за 60минут, значит ее скорость 6° в минуту. За 60 минут часовая стрелка проходит лишь 30°, значит ее скорость 0,5° в минуту. За 10 мин минутная стрелка пройдет: 6°*10= 60°. За 10 мин часовая пройдет 0,5*10=5°. 60°-5°=55° - угол между часовой и минутной стрелками через 10 мин. 2) через 25 мин минутная стрелка пройдет 25*6°=150°. За 25 мин часовая пройдет 25*0,5°=12,5°. 150-12,5=137,5 угол между часовой и минутной стрелками через 25 мин... 55°<137,5°. Угол1 < угла2
4,8(60 оценок)
Новые ответы от MOGZ: Математика
logo
Вход Регистрация
Что ты хочешь узнать?
Спроси Mozg
Открыть лучший ответ