М
Молодежь
К
Компьютеры-и-электроника
Д
Дом-и-сад
С
Стиль-и-уход-за-собой
П
Праздники-и-традиции
Т
Транспорт
П
Путешествия
С
Семейная-жизнь
Ф
Философия-и-религия
Б
Без категории
М
Мир-работы
Х
Хобби-и-рукоделие
И
Искусство-и-развлечения
В
Взаимоотношения
З
Здоровье
К
Кулинария-и-гостеприимство
Ф
Финансы-и-бизнес
П
Питомцы-и-животные
О
Образование
О
Образование-и-коммуникации
Jand9
Jand9
19.07.2021 10:39 •  Математика

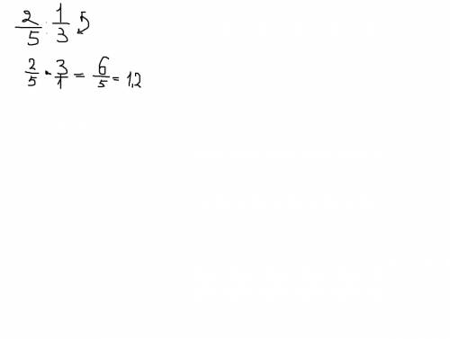
Найдите частное от деления 2/5 на 1/3

👇
Ответ:
Fastikqq
Fastikqq
19.07.2021
Для того, чтобы поделить дроби, заменяем дробь-делитель на взаимообратную дробь. Получается 2/5*3/1. И это равно 6/5 или 1,2
4,8(42 оценок)
Ответ:
furi2
furi2
19.07.2021
В прикрепленном файле::::))))))
Надеюсь отметишь как лучшее))

Найдите частное от деления 2/5 на 1/3
4,5(99 оценок)
Открыть все ответы
Ответ:
irkaveerova
irkaveerova
19.07.2021
Найти среднее арифметическое чисел: 1). 4,2 и 2,1;   (4,2+2,1)/2=3,15
2), 3,9; 6; 9,18 и 15,8       (3,9+ 6+ 9,18+15,8)/4=34,88/4=8,72

В течение недели в 8 утра Саша измерял температуру воздуха. Он получил такие результаты: 20С; 18С; 16С; 15С; 14С; 17С; 19С. Найти среднее значение проведенных измерений.
(20+18+16+15+14+17+19)/7=119/7=17

Как найтисреднюю оценку учеников класса по математике за 2 четверть?
Сложить итоговые оценки за 2 четверть всех учеников и разделить на кол-во учеников

Автомобиль ехал 3 ч со скоростью 5604 км/ч и 4 ч со скоростью 62,7 км/ч. Найти среднюю скорость автомобиля на всем пути.
3*56,4+4*62,7=420
3+4=7
420/7=60 км/ч
4,6(46 оценок)
Ответ:
Ekaaaterina
Ekaaaterina
19.07.2021
Найти среднее арифметическое чисел: 1). 4,2 и 2,1;   (4,2+2,1)/2=3,15
2), 3,9; 6; 9,18 и 15,8       (3,9+ 6+ 9,18+15,8)/4=34,88/4=8,72

В течение недели в 8 утра Саша измерял температуру воздуха. Он получил такие результаты: 20С; 18С; 16С; 15С; 14С; 17С; 19С. Найти среднее значение проведенных измерений.
(20+18+16+15+14+17+19)/7=119/7=17

Как найтисреднюю оценку учеников класса по математике за 2 четверть?
Сложить итоговые оценки за 2 четверть всех учеников и разделить на кол-во учеников

Автомобиль ехал 3 ч со скоростью 5604 км/ч и 4 ч со скоростью 62,7 км/ч. Найти среднюю скорость автомобиля на всем пути.
3*56,4+4*62,7=420
3+4=7
420/7=60 км/ч
4,5(94 оценок)
Это интересно:
Новые ответы от MOGZ: Математика
logo
Вход Регистрация
Что ты хочешь узнать?
Спроси Mozg
Открыть лучший ответ