М
Молодежь
К
Компьютеры-и-электроника
Д
Дом-и-сад
С
Стиль-и-уход-за-собой
П
Праздники-и-традиции
Т
Транспорт
П
Путешествия
С
Семейная-жизнь
Ф
Философия-и-религия
Б
Без категории
М
Мир-работы
Х
Хобби-и-рукоделие
И
Искусство-и-развлечения
В
Взаимоотношения
З
Здоровье
К
Кулинария-и-гостеприимство
Ф
Финансы-и-бизнес
П
Питомцы-и-животные
О
Образование
О
Образование-и-коммуникации

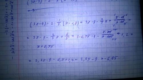
Выражение и найдите его значение при x = 0.75 (3x-9)-2 1/3(x-1.8)

👇
Ответ:
DaniilTatarinov
DaniilTatarinov
18.09.2022
Вот если все так, то все отлично
Выражение и найдите его значение при x = 0.75 (3x-9)-2 1/3(x-1.8)
4,7(42 оценок)
Открыть все ответы
Ответ:
fedoroff67rusZah
fedoroff67rusZah
18.09.2022

18.72

Пошаговое объяснение:

(6 - 4/5) ÷ (1(1)/(3) - 1/4) × (2(1)/(3) + 1(2)/(5) + 1/6) = ​18.72

1) 6 - 4/5 = 26/5 = 5,2

2) 1(1)/(3) - 1/4 = 4/3 - 1/4 = 16/12 - 3/12 = 13/12 = 4/3 = 1(1)/(3)

3) 2(1)/(3) + 1(2)/(5) = 35/15 + 21/3/1215 = 56/15 = 3(11)/(15)

4) 3(11)/(15) + 1/6 = 112/30 + 5/30 = 117/30 = 3(27)/(30)

5) 5,2 ÷ 1(1)/(3) = 26/5 ÷13/12 = 24/5 = 4,8

6) 4,8 × 3(27)/(30) = 24/5 × 117/30 = 468/25  = 18 (18)/(25) = 18.72

()-в cкобках это знаменатель или числитель, это в смешанных дробях

Если не правильно, то пишите в комменты...

Удачи:)

4,5(47 оценок)
Ответ:
edinorozhkaXazal
edinorozhkaXazal
18.09.2022

Пошаговое объяснение:

Медианы делят противолежащие стороны на две равные части. В точке пересечения все три медианы делят друг друга на части ,в пропорции 2:1 при том,что больший отрезок всегда начинается из вершины угла.

Биссектрисы всегда делят угол из которого выходят на 2 равные части. Точка пересечения всех биссектрисс является центром вписанной в треугольник окружности. Биссектрисса делит противоположную сторону пропорционально боковым сторонам , прилегающим к отрезкам.

В треугольнике АВС биссектриса АК делит сторонуВС на отрезки в пропорции АВ:АС=ВК:СК

Высоты в треугольнике всегда перендикулярны к самой стороне или ее продолжению (В случае,если есть тупой угол,то высоты из вершин острых углов падают на продолжение стороны,лежащей против  тупого угла) Высоты пересекаются в одной точке. При этом точка может быть вне самого треугольника.В случае с тупым углом.

4,6(24 оценок)
Это интересно:
Новые ответы от MOGZ: Математика
logo
Вход Регистрация
Что ты хочешь узнать?
Спроси Mozg
Открыть лучший ответ