М
Молодежь
К
Компьютеры-и-электроника
Д
Дом-и-сад
С
Стиль-и-уход-за-собой
П
Праздники-и-традиции
Т
Транспорт
П
Путешествия
С
Семейная-жизнь
Ф
Философия-и-религия
Б
Без категории
М
Мир-работы
Х
Хобби-и-рукоделие
И
Искусство-и-развлечения
В
Взаимоотношения
З
Здоровье
К
Кулинария-и-гостеприимство
Ф
Финансы-и-бизнес
П
Питомцы-и-животные
О
Образование
О
Образование-и-коммуникации
aabeldinova
aabeldinova
21.04.2023 17:22 •  Математика

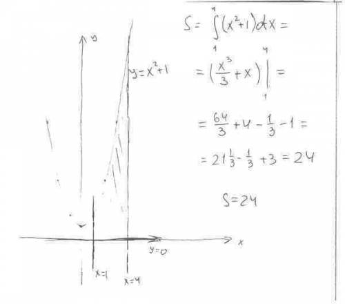
Вычислите площадь фигуры, ограниченной линиями xy=1, y=x^2, y=4 и расположенной в первой четверти координатной плоскости

👇
Ответ:
LitRoboBoytle
LitRoboBoytle
21.04.2023
S= модуль(определённый интеграл (x (2)+1-0) от одного до четырех = модуль  [x (3)/3+x) от одного до четырех ] = модуль [ 1/3+1-64/3-4]=-24
Вычислите площадь фигуры, ограниченной линиями xy=1, y=x^2, y=4 и расположенной в первой четверти ко
4,5(25 оценок)
Открыть все ответы
Ответ:
vikaprostitova
vikaprostitova
21.04.2023
Для начала отметим, что же такое координатная прямая. Это есть прямая, на которой отмечена точка, принятая за начало отсчета. Точку часто именуют О.

Это как, например, едешь ты из своего города к друзьям. От твоего города до города друзей 300 км. То есть твой город есть начало отсчета. Именно от него ты считаешь расстояние.

Также координатная прямая имеет направление и единичный отрезок.

На этом же примере про поездку к твоим друзьям. Ты считаешь расстояние в км. Один километр, второй километр. Ты же не считаешь расстояние в см или в 500 м? Поэтому единичный отрезок равен 1 км. 

Вспомним, что на прямой есть точка О, означающую начало отсчета. Она по сути означает цифру ноль. 

Теперь попробуй сам ответить... Единица больше или меньше нуля? 

Больше! Значит она расположена где?

Правее! А минус единица? Где расположена -1 относительно нуля?

Левее! Так как она меньше нуля.

Запомни! Если число больше, то оно располагается правее на координатной прямой.
И логично, что если число меньше, то оно располагается левее.

И все, зная это, ты смог бы легко ответить на этот вопрос. Теперь ты это знаешь)

Надеюсь я тебе объяснила что к чему)) 
Если остаются вопросы, обращайся)

жмем
4,5(89 оценок)
Ответ:
Dan99pro
Dan99pro
21.04.2023

ответ: ответ: В(0; 7)  и N (0; 0)

Пошаговое объяснение:

d= √(x2−x1)²+(y2−y1)² так можно найти расстояние между точками. Получаем:

Расстояние между точками А и В =√(х−3)²+(7−0)² =√x²−6x+9+49= √x²−6x+58

Расстояние между точками M  и N =√(х−7)²+(0−3)² =√x²−14x+49+9= √x²−14x+58

В условии сказано, что эти расстояния равны, поэтому: √x²−6x+58=√x²−14x+58

Возведём обе части уравнения в квадрат x²−6x+58=x²−14x+58

Перенесём всё в одну сторону, не забывая поменять знак

x²−6x+58-x²+14x-58=0

8х=0

х=0

ответ: В(0; 7)  и N (0; 0)

4,7(30 оценок)
Это интересно:
Новые ответы от MOGZ: Математика
logo
Вход Регистрация
Что ты хочешь узнать?
Спроси Mozg
Открыть лучший ответ