М
Молодежь
К
Компьютеры-и-электроника
Д
Дом-и-сад
С
Стиль-и-уход-за-собой
П
Праздники-и-традиции
Т
Транспорт
П
Путешествия
С
Семейная-жизнь
Ф
Философия-и-религия
Б
Без категории
М
Мир-работы
Х
Хобби-и-рукоделие
И
Искусство-и-развлечения
В
Взаимоотношения
З
Здоровье
К
Кулинария-и-гостеприимство
Ф
Финансы-и-бизнес
П
Питомцы-и-животные
О
Образование
О
Образование-и-коммуникации

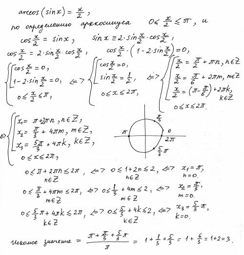
Решить уравнение arccos(sinx)=x/2. в ответ записать значения s/pi, где s - сумма всех корней уравнения.

👇
Ответ:
Ayla2a011
Ayla2a011
02.04.2020
/см. прикрепленное изображение/, ============>>>>++
Решить уравнение arccos(sinx)=x/2. в ответ записать значения s/pi, где s - сумма всех корней уравнен
4,8(35 оценок)
Открыть все ответы
Ответ:
X5Z6
X5Z6
02.04.2020

ответ: 230

Пошаговое объяснение:

Пусть третье число- х, тогда второе число- 6х, а четвёртое число

(х + 32) , при этом  первое число составляет 20 % от суммы трех первых чисел  (х + 6х + х + 32)*0,2

Составим уравнение:

х + 6х + х + 32 + 0,2(х + 6х + х + 32) = 480

8х+32+ 1,6х+6,4= 480

9,6х = 480- 38,4

9,6х = 441,6

х=441,6 : 9,6

х = 46 третье число

6х= 6 *46 = 276  второе число

х+32 = 46+42= 78  четвёртое число

(х + 6х + х + 32)*0,2= 0,2(46 + 276 + 78) = 0,2 *400 = 80  первое число. 276 - наибольшее второе число, 46 -наименьшее третье число.

Разность между наибольшего и наименьшего числами равна:

276 - 46 = 230

4,6(61 оценок)
Ответ:
VIXXX
VIXXX
02.04.2020
230

Пошаговое объяснение:

Обозначим третье число буквой Х

Тогда второе число по условию задачи 6Х (в 6 раз больше Х)

Четвертое число по условию задачи Х+32

Первое число – 20% (ИЛИ ПЯТАЯ ЧАСТЬ)  

от суммы второго, третьего и четвертого

(6Х+Х+Х+32):5 первое число

Составляем уравнение:

((6Х+Х+Х+32):5) +6Х+Х+Х+32 =480

Умножаем левую и правую части на 5 (для упрощения счёта)

8Х+32+40Х+160=2400

48Х=2400-160-32

48Х=2208

Х= 46  - ТРЕТЬЕ ЧИСЛО

46+32 = 78 – ЧЕТВЕРТОЕ ЧИСЛО  

46*6=276 –ВТОРОЕ ЧИСЛО

276+46+78=400 – сумма  второго, третьего и четвертого

400:5 (т.е. 20%) = 80 – ПЕРВОЕ ЧИСЛО

Проверка  

80+276+46+78=480

Наибольшее число 276

Наименьшее число 46

276-46=230

ОТВЕТ: 230

4,4(20 оценок)
Это интересно:
Новые ответы от MOGZ: Математика
logo
Вход Регистрация
Что ты хочешь узнать?
Спроси Mozg
Открыть лучший ответ