М
Молодежь
К
Компьютеры-и-электроника
Д
Дом-и-сад
С
Стиль-и-уход-за-собой
П
Праздники-и-традиции
Т
Транспорт
П
Путешествия
С
Семейная-жизнь
Ф
Философия-и-религия
Б
Без категории
М
Мир-работы
Х
Хобби-и-рукоделие
И
Искусство-и-развлечения
В
Взаимоотношения
З
Здоровье
К
Кулинария-и-гостеприимство
Ф
Финансы-и-бизнес
П
Питомцы-и-животные
О
Образование
О
Образование-и-коммуникации
nastasttv00
nastasttv00
30.11.2022 06:43 •  Математика

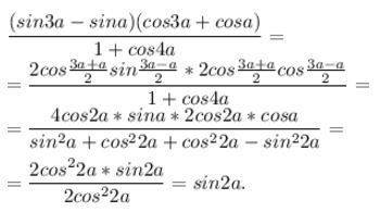
Как это выражение (sin3a-sin a)(cos3a+cosa): 1+

👇
Ответ:
dorof077
dorof077
30.11.2022
\dfrac{(sin3a-sin a)(cos3a+cosa)}{1+cos4a}=\\ =\dfrac{2cos \frac{3a+a}{2}sin\frac{3a-a}{2} *2cos \frac{3a+a}{2}cos\frac{3a-a}{2}}{1+cos4a}= \\ =\dfrac{4cos 2a*sina *2cos 2a*cosa}{sin^2a+cos^22a+cos^22a-sin^22a}=
=\dfrac{2cos^2 2a*sin2a }{2cos^22a}=sin2a.

Как это выражение (sin3a-sin a)(cos3a+cosa): 1+
4,7(79 оценок)
Открыть все ответы
Ответ:
Кирилл41018
Кирилл41018
30.11.2022
1) Цель проекта : понять как можно защитить свой дом
. Покупаем или строим дом ( жилище) . Вокруг дома делаем два рова . Один с вечно голодными крокодилами , другой с кислотой . Нанимам 200.000 охранников, они должны стоять у дома. Так же должны быть наняты 1.000 киллеров , на всякий случай. У дома строим 5 заборов из пуле не пробиваемого материала. Жилище оснащаем камерами. Под домом устраиваемых секретный подкоп , что бы в случае чего эвакуироваться из дома. Для защиты от воздушных бомбардировок часть дома лучше сделать под землёй . Плюс ко всему над домом как ни будь присобачить 3 слоя пуле не пробиваемого материала ( как ещё пара слоёв крыши) . Желательно при себе имет автомат Калашникова , ТТ или травмат .
4,5(5 оценок)
Ответ:
akniet8
akniet8
30.11.2022
«Как хороша жизнь, когда что-нибудь сделаешь хорошее и правдивое!» Сейчас и я знаю, что это не пустые высокопарные слова, а действительность — в этом я убедилась на собственном опыте. Совсем недавно я совершила проступок, который долго не давал мне покоя. Казалось бы, все обошлось — я солгала родителям, и те поверили в искренность моих слов. Но внутри меня продолжало жить чувство вины, которое не давало мне спокойно есть, пить, радоваться общению с друзьями… А дело было так — родители уехали на дачу и попросили меня посидеть с маленькой сестренкой. Казалось бы — чего проще? Несколько часов провести с этой непоседливой крохой. Да, она озорная и очень активная, да, ей нужно постоянно уделять внимание, иначе начнется рев не только на всю квартиру, но и, наверное, на весь подъезд. Конечно, так «активно» сидеть с сестрой очень утомительно, но вполне мне по силам. Но так я думаю сейчас. А тогда с трудом сдерживала себя. И чем больше проходило времени, тем больше я убеждалась в том, что родители поступили со мной несправедливо. Почему они не позвали бабушек посидеть с Варей? Почему не взяли ее с собой? Почему они испортили весь выходной, поручив мне это скучное и утомительное дело? Так думала я, мысленно высказывая все новые и новые претензии к родителям. Под конец мне стало казаться, что они меня совсем не любят, а только несправедливо придираются и стараются испортить мне жизнь… К вечеру я чувствовала себя очень несчастным и заброшенным человеком, влачащим в собственной семье жалкое существование. И тут, будто услышав мои мысли, мне позвонила подруга и предложила погулять. В «обычный» день я бы еще подумала, если честно. Но тут … Привычные слова Юльки «Хватит дома сидеть, пошли дышать воздухом!» прозвучали для меня как озарение, руководство к действию. Я решила, что Варя сможет пару часов побыть одна, а мне просто жизненно необходимо подышать этим самым «свежим воздухом». И я ушла, оставив маленькую сестренку совсем одну. К счастью, ничего страшного не случилось, не считая громкого рева, который Варя подняла к приходу родителей. После моего возвращения меня, конечно, ждал серьезный разговор, но, оправдываясь, я начала отчаянно врать (как сделали бы большинство моих сверстников). И, о чудо, мама поверила мне или сделала вид, что поверила. С какими байками я пришла к родителям? Я сказала, что в школе у нас намечается важная контрольная, что мне надо было пойти к Юльке, потому что у нее есть приблизительный вариант, который я должна была посмотреть и, по возможности, «прорешать». А контрольная, сами понимаете, важнее даже родной сестры. Мне показалось, что мама согласилась со мной. Итак, все закончилось благополучно, мне нужно было жить и радоваться, но… Во мне поселилось чувство вины. Невольно я начала задумываться о том, что из-за моей беспечности могло бы что-то случиться с Варей. А этого мама точно не пережила бы. И я могла потерять и ее… Кроме того, я поняла, что мои родители очень меня любят. И тут возникли угрызения совести еще и по этому поводу — как я могла подумать, что они специально заставляют меня выполнять неприятную работу, что они специально мучают меня, не хотят, чтобы мне было хорошо? Все те мысли, что мне лезли в голову, когда я сидела с Варей, показались просто бредом. Как я вообще могла додуматься до такого?! Но рассказать правду я не решалась — мне было очень стыдно, я не могла сломать какой-то барьер внутри себя. Тогда я решила, что заслужу прощение, активно маме по дому, прилежно учась. Все заметили мое старание — и родители, и учителя, и друзья. И мне стало легче, но почему-то ненамного и ненадолго. И тогда, в один прекрасный момент, я во всем призналась маме: «Мам, а помнишь тот случай…» Конечно, мама его помнила! Больше того, и она призналась, что не поверила мне, просто и ее мучили угрызения совести — имела ли она право вот так «эксплуатировать» мой выходной… Эти слова стали для меня настоящим откровением! Я поняла, что очень люблю своих родителей, свою семью, какое огромное счастье, что они у меня есть, и как хорошо, что я во всем призналась… Я почувствовала, что значит «гора упала с плеч». Слезы сами потекли у меня из глаз, и с каждой слезинкой я ощущала, как из меня выходит многонедельная тревога, вина, напряжение — несчастье. И возвращаются легкость, свет, радость… В этот момент я очень отчетливо понимала: «Как хороша жизнь, когда что-нибудь сделаешь хорошее и правдивое!» Сразу будто падает стена, которая отделяла тебя от всех людей, от всего светлого мира. Ты вновь чувствуешь себя частью жизни — радостной и счастливой, снова заслуживаешь возможность жить с людьми. С этим ощущением ничто не может сравниться. И оно стоит того, чтобы как можно чаще делать «что-то хорошее и правдивое».
4,4(71 оценок)
Это интересно:
Новые ответы от MOGZ: Математика
logo
Вход Регистрация
Что ты хочешь узнать?
Спроси Mozg
Открыть лучший ответ