М
Молодежь
К
Компьютеры-и-электроника
Д
Дом-и-сад
С
Стиль-и-уход-за-собой
П
Праздники-и-традиции
Т
Транспорт
П
Путешествия
С
Семейная-жизнь
Ф
Философия-и-религия
Б
Без категории
М
Мир-работы
Х
Хобби-и-рукоделие
И
Искусство-и-развлечения
В
Взаимоотношения
З
Здоровье
К
Кулинария-и-гостеприимство
Ф
Финансы-и-бизнес
П
Питомцы-и-животные
О
Образование
О
Образование-и-коммуникации
Qwerty1246
Qwerty1246
15.01.2020 18:32 •  Математика

Решить дифференциальное уравнение: 8y'-x расписать каждый шаг

👇
Ответ:
Tinch
Tinch
15.01.2020
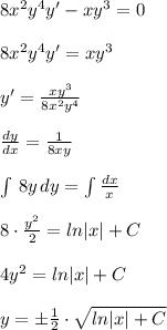
8x^2y^4y'-xy^3=0\\\\8x^2y^4y'=xy^3\\\\y'= \frac{xy^3}{8x^2y^4} \\\\ \frac{dy}{dx} = \frac{1}{8xy} \\\\ \int \, 8y\, dy=\int \frac{dx}{x} \\\\ 8\cdot \frac{y^2}{2} =ln|x|+C\\\\4y^2=ln|x|+C\\\\y=\pm \frac{1}{2}\cdot \sqrt{ln|x|+C}
4,6(22 оценок)
Открыть все ответы
Ответ:
киря2289
киря2289
15.01.2020
Старый дом уже давно мечтал о второй молодости. Он был не таким уж и старым, просто после того, как его покинул последний жилец, он буквально за несколько месяцев превратился в настоящие развалины. Ведь не зря говорят, что дом живет до тех пор, пока в нем живут люди. Это оказалось сущей правдой.
Так вот, наш не по годам состарившийся домик мечтал о том, что его заселят новые жильцы... ну, или, хотя бы, один.
Он ждал и медленно превращался в руины. Дырявая крыша съехала, водосточные трубы валялись вокруг и ржавели, кирпич сырел и сыпался. Казалось, что конец близок и неминуем.
Но вот, в один поистине прекрасный, солнечный день, случилось чудо.
К дому подъехал джип, из которого весело выпрыгнули двое братьев-близнецов со своими женами. Они уже не раз проезжали мимо старого дома и решили, что ему нужны хозяева. Домик обрадовался и тихонько скрипнул обветшалыми дверьми.

Уже всего через три месяца старый дом было не узнать - все было новым, прочным и красивым. Ребята оказались мастеровитыми и не затягивали с ремонтом. А их жены, профессиональные дизайнеры интерьера, создали невероятно уютную атмосферу внутри дома.

Мечта старого дома наконец сбылась - он реально обрел вторую молодость и чувствовал себя как никогда лучше!
4,6(55 оценок)
Ответ:
Старый дом уже давно мечтал о второй молодости. Он был не таким уж и старым, просто после того, как его покинул последний жилец, он буквально за несколько месяцев превратился в настоящие развалины. Ведь не зря говорят, что дом живет до тех пор, пока в нем живут люди. Это оказалось сущей правдой.
Так вот, наш не по годам состарившийся домик мечтал о том, что его заселят новые жильцы... ну, или, хотя бы, один.
Он ждал и медленно превращался в руины. Дырявая крыша съехала, водосточные трубы валялись вокруг и ржавели, кирпич сырел и сыпался. Казалось, что конец близок и неминуем.
Но вот, в один поистине прекрасный, солнечный день, случилось чудо.
К дому подъехал джип, из которого весело выпрыгнули двое братьев-близнецов со своими женами. Они уже не раз проезжали мимо старого дома и решили, что ему нужны хозяева. Домик обрадовался и тихонько скрипнул обветшалыми дверьми.

Уже всего через три месяца старый дом было не узнать - все было новым, прочным и красивым. Ребята оказались мастеровитыми и не затягивали с ремонтом. А их жены, профессиональные дизайнеры интерьера, создали невероятно уютную атмосферу внутри дома.

Мечта старого дома наконец сбылась - он реально обрел вторую молодость и чувствовал себя как никогда лучше!
4,7(66 оценок)
Новые ответы от MOGZ: Математика
logo
Вход Регистрация
Что ты хочешь узнать?
Спроси Mozg
Открыть лучший ответ