М
Молодежь
К
Компьютеры-и-электроника
Д
Дом-и-сад
С
Стиль-и-уход-за-собой
П
Праздники-и-традиции
Т
Транспорт
П
Путешествия
С
Семейная-жизнь
Ф
Философия-и-религия
Б
Без категории
М
Мир-работы
Х
Хобби-и-рукоделие
И
Искусство-и-развлечения
В
Взаимоотношения
З
Здоровье
К
Кулинария-и-гостеприимство
Ф
Финансы-и-бизнес
П
Питомцы-и-животные
О
Образование
О
Образование-и-коммуникации
RoadGoodGame
RoadGoodGame
17.01.2023 10:18 •  Математика

Найти производную функции: y=3x-x^2 и все число в корне

👇
Ответ:
прояна
прояна
17.01.2023
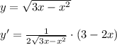
y=\sqrt{3x-x^2}\\\\y'= \frac{1}{2\sqrt{3x-x^2}} \cdot (3-2x)
4,4(44 оценок)
Открыть все ответы
Ответ:
вевпончд
вевпончд
17.01.2023
Буржуазия наконец поняла,что они тоже важный слой общества.тогда при правлении петра первого в россию начали прибывать разные интересные люди и приносили с собой различные обычаи,на тот момент незнакомые нам.тогда образование стало обязательным,было построено много образовательных учреждений. характерные черты были: путь к самосовершенствованию путем развития и духовной деятельности,характерен был для неё деизм(была возможность выступать против церкви,за свободу совести),тогда же начал проявляться космополитизм,он выражался в осуждении национализма и требовал равных возможностей каждой нации.
4,5(72 оценок)
Ответ:
katy0987
katy0987
17.01.2023
Внашей семье день победы - самый настоящий праздник. он дорог своей памятью о тех, кто погиб, защищая нашу родину от фашистских захватчиков и о тех, кто остался в живых.мы все: от мала до велика,­ всегда должны чтить память о­ людях, которые отдали свои жизни,­ для того, чтобы нам всем дать возможность жить на земле­ и в этой свободной стране. подвиг героев войны­ бессмертен. память об этом времени еще долгие годы будет жить в художественной и в наших сердцах. в школе нам на уроках преподаватели рассказывают, какую цену пришлось заплатить за наше счастье нашим . когда я читала произведение «а зори здесь тихие» (борис васильев), а потом посмотрела фильм по этому сценарию, то воочию увидела, какие молодые девушки встали на защиту своей родины. было удивительно смотреть на этих хрупких, совсем еще девчонок, в руках которых были автоматы, а на ногах грубые мужские сапоги. им,­ наверное, точно также как и современным девушкам, хотелось ходить на танцы, рожать детей, а пришлось встать перед головорезами и не дать им пройти через рубеж нашей границы. они просто выполняли свой долг, сражаясь с фашистами до самого последнего вздоха. даже немцы, когда увидели убитую девушку, были ошеломлены тем, что им на пути встала такая милая, совсем еще молодая женщина, а не вооруженный до зубов боец армии.перед людьми, отстаивающими правду и свободу, смерть не властна. поэтому и подвиг их бессмертен.9 мая, в день великой победы мы всегда ходим к памятнику погибшим солдатам на митинг и­ возложение цветов. это традиция нашей семьи. с каждым годом число ветеранов становится все меньше и меньше. жаль, что уходят от нас такие замечательные люди. залпом из ружей, отдается последняя почесть погибшим и не вернувшимся с полей битв. моя бабушка, хоть и не воевала, но была во время войны на оккупированной территории на украине. когда она нам рассказывает об этих труднейших годах её жизни, сложно поверить, что такие дети, как в то время была наша бабуля, в тылу и не жили, а выживали в голодное время, своим родителям, работали на заводах. поэтому она до сих пор не может выбросить даже крошки хлеба со стола, она их высыпает птичкам.в этот праздник мы всегда поздравляем ветеранов, а свою бабушку отдельно. она до сих пор любит сирень, а в мае она как раз буйно расцветает. когда мы вручаем ей подарок и букет, она всегда вспоминает 9 мая 1945 года, когда была объявлена победа. она всегда плачет
4,8(41 оценок)
Новые ответы от MOGZ: Математика
logo
Вход Регистрация
Что ты хочешь узнать?
Спроси Mozg
Открыть лучший ответ