М
Молодежь
К
Компьютеры-и-электроника
Д
Дом-и-сад
С
Стиль-и-уход-за-собой
П
Праздники-и-традиции
Т
Транспорт
П
Путешествия
С
Семейная-жизнь
Ф
Философия-и-религия
Б
Без категории
М
Мир-работы
Х
Хобби-и-рукоделие
И
Искусство-и-развлечения
В
Взаимоотношения
З
Здоровье
К
Кулинария-и-гостеприимство
Ф
Финансы-и-бизнес
П
Питомцы-и-животные
О
Образование
О
Образование-и-коммуникации
фиксоня
фиксоня
20.09.2021 16:06 •  Математика

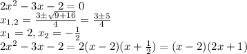
Разложите многочлены на множители 2х в квадрате-3х-2

👇
Ответ:
привки228
привки228
20.09.2021
2 x^{2} -3x-2=0 \\ x_{1,2}= \frac{3б \sqrt{9+16} }{4} =\frac{3б5 }{4} \\ x_1=2, x_2=- \frac{1}{2} \\ 2 x^{2} -3x-2=2(x-2)(x+ \frac{1}{2} )=(x-2)(2x+1)
4,5(1 оценок)
Открыть все ответы
Ответ:
Alina25255
Alina25255
20.09.2021
Человек – единственный живой организм на этой планете, способный изменять и подстраивать окружающую среду под себя с целью облегчить своё существование. в отличие от животных, основой существования которых является инстинкт самосохранения, с каждым днём отдельный человек и человечество в целом узнают всё больше об этом мире, что людям жить, а не выживать. каждое поколение добавляет свой вклад в развитие человечества. со временем стали появляться индивидуальные суждения о мире и месте человека в нём, опирающиеся на общепринятые материальные и нематериальные положения. начались различные споры между философами, каждый из которых стремился доказать свою точку зрения, считая её единственно верной. так родилось и высказывание эриха фромма.  появление человека на земле его самого к вопросу о смысле жизни, что уже наводит на размышления. ведь не будь человек существом разумным, он бы и не задумался над этим вопросом. иными словами, человечество своим существованием создало себе проблему, которая в настоящее время волнует множество ученых-философов, что доказывает слова эриха фромма.  возможно, эта проблема неразрешима, и люди так никогда и не придут к единому мнению.
4,5(76 оценок)
Ответ:
snejik07
snejik07
20.09.2021

Пошаговое объяснение:

a) (130,2 - 30,8): 2,8 - 21,84:8=99,4:2,8-21,84:8=35,5-2,73=32,77

6) 8,16 : (1,32 + 3,48) – 0,345=8,16:4,8-0,345=1,7-0,345=1,355

B) 3,712 : (7 - 3,8) + 1,3 * (2,74 + 0,66)=3,712:3,2+1,3*3,4=1,16+4,42=5,58

r) (3,4 : 1,7 + 0,57 : 1,9)* 4,9 + 0,0825 : 2,75=(2+0,57:1,9)*4,9+0,0825:2,75=(2+0,3)* 4,9 + 0,0825 : 2,75=2,3*4,9+0,0825 : 2,75=11,27+0,03=11,3

A) (4,44 : 3,7 - 0,56 : 2,8): 0,25 - 0,8=(1,2-0,56 : 2,8): 0,25 - 0,8=(1,2-0,2):0,25-0,8=1:0,25-0,8=4-0,8=3,2

e) 10,79 : 8,3 · 0,7 - 0,46 • 3,15 : 6,9=1,3*0,7-0,46 • 3,15 : 6,9=0,91-1,449:6,9=0,9-0,21=0,69

4,5(48 оценок)
Это интересно:
logo
Вход Регистрация
Что ты хочешь узнать?
Спроси Mozg
Открыть лучший ответ