М
Молодежь
К
Компьютеры-и-электроника
Д
Дом-и-сад
С
Стиль-и-уход-за-собой
П
Праздники-и-традиции
Т
Транспорт
П
Путешествия
С
Семейная-жизнь
Ф
Философия-и-религия
Б
Без категории
М
Мир-работы
Х
Хобби-и-рукоделие
И
Искусство-и-развлечения
В
Взаимоотношения
З
Здоровье
К
Кулинария-и-гостеприимство
Ф
Финансы-и-бизнес
П
Питомцы-и-животные
О
Образование
О
Образование-и-коммуникации
onyfriyevanast
onyfriyevanast
19.11.2022 11:56 •  Математика

Разность квадратов двух чисел, равна 4, а их сумма больше разности двух этих чисел на 8

👇
Ответ:
Erkina000
Erkina000
19.11.2022
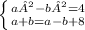
A, b - искомые числа

 \left \{ {{a²-b²=4} \atop {a+b=a-b+8}} \right.  
систему решай сам \left \{ {{a²-b²=4} \atop {a+b=a-b+8}} \right.
4,4(68 оценок)
Открыть все ответы
Ответ:
15+31+19+20+16+18=119 ведер керосина всего находится в 6 бочках
Введем переменные:
х- число ведер, которые купил первый покупатель, значит
2х - число ведер которые купил второй покупатель
у - число ведер, которое осталось
получим уравнение:
х+2х=119-у
3х=119-у
подставляем допустимые значения у в правую часть уравнения:
119-18=101
119-16=103
119-20=99
119-19=100
119-31=88
119-15=104
Как видно из полученных выражений 101, 103, 99, 100, 88 и 104 только одно является кратной левой части уравнения, то есть кратно 3 (трем) это число 99, которое у нас получится если останется бочка с 20 литрами
ответ: бочка объемом в 20 литров осталась непроданной
4,6(76 оценок)
Ответ:
DiGribosha
DiGribosha
19.11.2022
Учитывая, что за каждый следующий день он решал задач больше, чем за предыдущий и за четвертый день в 4 раза больше, чем за первый, имеем: число задач, решенных за первый день будет повторяться 7 раз. Значит, чтобы узнать сколько задач было решено за первый день, надо будет делить на 7. Ближайшее к 23 число, которое делится на 7 - это 21.
21 :7 = 3. Если за первый день он решит 3 задачи, тогда за второй день минимум 4 задачи, за третий - минимум 5 задач, за четвертый день 3*4 = 12 задач.
3 + 4 + 5 + 12 = 24, а это не равно 23, значит, за первый день он не мог решить 3 задачи.
Если за первый день он решит 2 задачи, тогда за четвертый день 2*4 = 8 задач.
23-(2 + 8) = 13 задач - это на второй и третий день.
Представляем 13 в виде двух слагаемых. Учитывая, что каждое из них больше 2 и меньше 8, причем второе больше первого, приходим к выводу, что это числа 6 и 7.
Значит, за первый день решено 2 задачи, за второй день - 6 задач, за третий - 7 задач, за четвертый - 8 задач.
4,8(71 оценок)
Это интересно:
Новые ответы от MOGZ: Математика
logo
Вход Регистрация
Что ты хочешь узнать?
Спроси Mozg
Открыть лучший ответ