М
Молодежь
К
Компьютеры-и-электроника
Д
Дом-и-сад
С
Стиль-и-уход-за-собой
П
Праздники-и-традиции
Т
Транспорт
П
Путешествия
С
Семейная-жизнь
Ф
Философия-и-религия
Б
Без категории
М
Мир-работы
Х
Хобби-и-рукоделие
И
Искусство-и-развлечения
В
Взаимоотношения
З
Здоровье
К
Кулинария-и-гостеприимство
Ф
Финансы-и-бизнес
П
Питомцы-и-животные
О
Образование
О
Образование-и-коммуникации
MrZick33446
MrZick33446
25.10.2020 10:51 •  Математика

Вычислите площадь фигуры, ограниченной линиями y= 1/4 - x^2 и y= 0

👇
Ответ:
Mallony
Mallony
25.10.2020
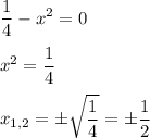
Найдем границы:
\displaystyle \frac{1}{4}-x^2=0\\\\x^2= \frac{1}{4} \\\\x_{1,2}= \pm\sqrt{ \frac{1}{4} } =\pm \frac{1}{2}

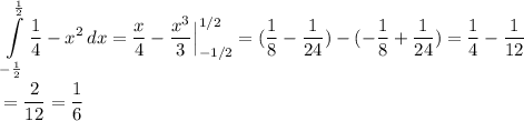
Составляем интеграл:
\displaystyle \int\limits^{ \frac{1}{2} }_{- \frac{1}{2} } { \frac{1}{4}-x^2 } \, dx = \frac{x}{4} - \frac{x^3}{3}\Big|^{1/2}_{-1/2} =( \frac{1}{8}- \frac{1}{24} )-(- \frac{1}{8} + \frac{1}{24} )= \frac{1}{4} - \frac{1}{12} \\\\= \frac{2}{12}= \frac{1}{6}
4,5(29 оценок)
Открыть все ответы
Ответ:
Trifonova252525
Trifonova252525
25.10.2020

обозначим т.О - центр окружности. Рассмотрим треугольник АОВ. Он равнобедренный, так как его стороны равны радиусу окружности. Расстояние от т.О до хорды АВ - это высота этого треугольника, а значит и медиана. Обозначим Р - пересечение высоты с АВ. Из прямоугольного треугольника ОРА находим гипотенузу, которая является радиусом окружности: r=√(10²+24²)=√676=26.

Рассматривая аналогичный прямоугольный треугольник, только построенный на хорде СD, найдем катет, который является высотой равнобедренного треугольника СOD, тем самым является искомым расстоянием до хорды CD:

h=√(26²-24²)=√100=10.

ответ: расстояние до хорды CD

Пошаговое объяснение:

4,8(62 оценок)
Ответ:
Cerega67
Cerega67
25.10.2020

1

ЗАДАЙ ВО Студенческий  Математика  5+3 б

Решите уравнение:

х: 3 = 192 x: 5 = 143

531 : х= 3 995 : х = 5

x: 8 = 111

567 : х = 9​

Nargiza01011987 9 часов назад

По больше объяснений  Следить Отметить нарушение

ОТВЕТИТЬ

ответы и объяснения

nargiza01011987 ждёт твоего решения.

ответь на во и заработай баллы.

cloud45

Cloud45Отличник

х:3=192

х=192•3

х=576

ответ:х=576

х:5=143

х=143•5

х=715

ответ:х=715

531:х=3

х=591:3

х=197

ответ:х=197

995:х=5

х=995:5

х=199

ответ:х=199

х:8=111

х=111•8

х=888

ответ:х=888

567:х=9

х=567:9

х=63

ответ:х=63

Пошаговое объяснение:

4,5(45 оценок)
Новые ответы от MOGZ: Математика
logo
Вход Регистрация
Что ты хочешь узнать?
Спроси Mozg
Открыть лучший ответ