М
Молодежь
К
Компьютеры-и-электроника
Д
Дом-и-сад
С
Стиль-и-уход-за-собой
П
Праздники-и-традиции
Т
Транспорт
П
Путешествия
С
Семейная-жизнь
Ф
Философия-и-религия
Б
Без категории
М
Мир-работы
Х
Хобби-и-рукоделие
И
Искусство-и-развлечения
В
Взаимоотношения
З
Здоровье
К
Кулинария-и-гостеприимство
Ф
Финансы-и-бизнес
П
Питомцы-и-животные
О
Образование
О
Образование-и-коммуникации
Nezik
Nezik
20.12.2020 17:40 •  Математика

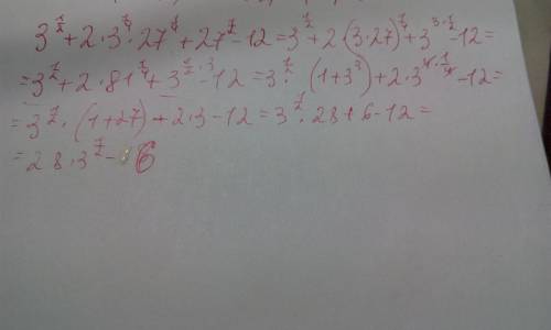
Объясните, , как это решилось. 3^1/2 + 2 * 3^1/4 * 27^1/4 + 27^1/2 - 12 = 4 * 3^1/2 - 6

👇
Ответ:
tasyasoloveva24
tasyasoloveva24
20.12.2020
Решение дано на фото.
Объясните, , как это решилось. 3^1/2 + 2 * 3^1/4 * 27^1/4 + 27^1/2 - 12 = 4 * 3^1/2 - 6
4,5(91 оценок)
Открыть все ответы
Ответ:
faiarina2016
faiarina2016
20.12.2020
Доказательство заключается в следующем: исходя из того, что точка F принадлежит биссектрисе DEB, можно сделать вывод, что расстояние от точки F до прямых DE и BE одинаково. Соответственно и расстояния от F до AD и от F до DE одинаковы. И, если расстояния от F до прямых AD и BE одинаковы, то точка F лежит на биссектрисе угла ACB.  Зная по условиям задачи, что треугольник ABC равнобедренный, откуда следует, что медиана и биссектриса совпадают, то тогда точка F лежит на медиане, и, следовательно, является серединой основания AB.
4,7(79 оценок)
Ответ:
Ученая13
Ученая13
20.12.2020
1.Нерациональное размещение потенциально опасных объектов производственного значения,хозяйственной и социальной фактуры
2.Технологическая отсталость производства,низкие темпы внедрения ресурсо-энергосберегающих и других технически совершенных и безопасных технологий
3.Износ средств производства,достигающий в ряде случаев предъаварийного уровня
4.Увеличение объема транспортировки,хранения,использования опасных веществ и материалов
5.Снижение уровня безопасности на производстве,транспорте,в энергетике,сельском хозяйстве
6.Отсутствие нормативно-правовой базы страхования техногенных рисков
4,7(85 оценок)
Это интересно:
Новые ответы от MOGZ: Математика
logo
Вход Регистрация
Что ты хочешь узнать?
Спроси Mozg
Открыть лучший ответ