М
Молодежь
К
Компьютеры-и-электроника
Д
Дом-и-сад
С
Стиль-и-уход-за-собой
П
Праздники-и-традиции
Т
Транспорт
П
Путешествия
С
Семейная-жизнь
Ф
Философия-и-религия
Б
Без категории
М
Мир-работы
Х
Хобби-и-рукоделие
И
Искусство-и-развлечения
В
Взаимоотношения
З
Здоровье
К
Кулинария-и-гостеприимство
Ф
Финансы-и-бизнес
П
Питомцы-и-животные
О
Образование
О
Образование-и-коммуникации
sashokko
sashokko
30.03.2023 12:28 •  Математика

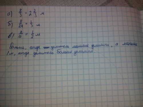
Проволку длиной 8 м разделили на равные а) 3 части б) 24 части в) 16 частей запмшите в виде дроби длину одной части проволки. в каком случае одна часть проволки больше 1 метра, а в каком - меньше?

👇
Ответ:
annet5530
annet5530
30.03.2023
Прости, что криво пишу
Проволку длиной 8 м разделили на равные а) 3 части б) 24 части в) 16 частей запмшите в виде дроби дл
4,4(76 оценок)
Открыть все ответы
Ответ:
Almira207
Almira207
30.03.2023
      согласно статье 3 федерального закона от 6 марта 2006 года № 35-фз «о противодействии терроризму» под  терроризмом   понимается идеология насилия и практика воздействия на принятие решения органами государственной власти, органами местного или международными организациями, связанные с устрашением населения и (или) иными формами противоправных насильственных действий.               терроризм представляет реальную угрозу национальной безопасности страны: похищение людей, взятие заложников, случаи угона самолетов, взрывы бомб, акты насилия в этно-конфессиональных конфликтах, прямые угрозы и их реализация и т.д.               противодействие терроризму   - деятельность органов государственной власти и органов местного по:               а) терроризма, в том числе по выявлению и последующему устранению причин и условий, способствующих совершению террористических актов (профилактика терроризма);               б) выявлению, , пресечению, раскрытию и расследованию террористического акта (борьба с терроризмом);               в) минимизации и (или) ликвидации последствий проявлений терроризма.               правовую основу противодействия терроризму составляют конституция российской федерации, общепризнанные принципы и нормы международного права, международные договоры российской федерации, федеральные законы, нормативные правовые акты президента российской федерации, нормативные правовые акты правительства российской федерации, а также принимаемые в соответствии с ними нормативные правовые акты федеральных органов государственной власти и органов государственной власти республики башкортостан.               противодействие терроризму в российской федерации основывается на следующих основных принципах:               1) обеспечение и защита основных прав и свобод человека и гражданина;               2) законность;               3) приоритет защиты прав и законных интересов лиц, подвергающихся террористической опасности;               4) неотвратимость наказания за осуществление террористической деятельности;               5) системность и комплексное использование политических, информационно-пропагандистских, социально-, правовых, специальных и иных мер противодействия терроризму;               6) сотрудничество государства с общественными и религиозными объединениями, международными и иными организациями, гражданами в противодействии терроризму;               7) приоритет мер терроризма;               8) единоначалие в руководстве привлекаемыми силами и средствами при проведении контртеррористических операций;               9) сочетание гласных и негласных методов противодействия терроризму;               10) конфиденциальность сведений о специальных средствах, технических приемах, тактике осуществления мероприятий по борьбе с терроризмом, а также о составе их участников;               11) недопустимость политических уступок террористам;               12) минимизация и (или) ликвидация последствий проявлений терроризма;               13) соразмерность мер противодействия терроризму степени террористической опасности.
4,4(23 оценок)
Ответ:
Сандалёк
Сандалёк
30.03.2023

Важную роль в общегосударственной системе противодействия терроризму играют антитеррористические комиссии (АТК) в субъектах Российской Федерации. На них возложены функции координации деятельности территориальных органов исполнительной власти и органов местного самоуправления по профилактике терроризма, а также по минимизации и ликвидации последствий его проявлений.

В настоящее время на фоне сохранения и укрепления силовой составляющей борьбы с конкретными террористическими проявлениями особую значимость приобретает проблема повышения эффективности противодействия идеологии терроризма. В связи с этим одним из главных приоритетов деятельности в АТК является практическая реализация на региональном уровне «Комплексного плана информационного противодействия терроризму в Российской Федерации на 2008 – 2012 годы». Это предполагает качественно более высокий уровень информационно-методического обеспечения деятельности АТК, усиление эффективности взаимодействия в этой сфере субъектов противодействия терроризму с институтами гражданского общества.

Настоящая брошюра предваряет серию материалов, подготовленных аппаратом НАК в АТК в субъектах Российской Федерации. Публикуемая в брошюре Концепция противодействия терроризму в Российской Федерации (далее – Концепция) разработана в рамках реализации федеральной целевой программой «Антитеррор (2005-2007 годы). Ее положения базируются на достигнутом уровне законодательного и нормативного правового регулирования правоотношений в сфере противодействия терроризму, расширяют и укрепляют основу для совершенствования антитеррористической деятельности федеральных органов исполнительной власти, органов исполнительной власти субъектов Российской Федерации и органов местного самоуправления, предусматривают участие в ней государственных и общественных институтов, не входящих в НАК.

В работе над Концепцией участвовали ученые научно-исследовательских и образовательных учреждений ФСБ России, специалисты-практики органов федеральной службы безопасности, сотрудники аппарата НАК, а также эксперты федеральных органов исполнительной власти, представленных в Комитете. Она рассмотрена и одобрена на 12 заседании НАК 12 февраля 2008 года.

Мониторинг реализации положений Федерального закона от 6 марта 2006 года № 35-ФЗ «О противодействии терроризму» (нормотворческий этап по состоянию на 1 октября 2008 года) содержит изложенный в табличной форме анализ правовых основ противодействия терроризму в нашей стране и нормотворческую деятельность по их совершенствованию после вступления в силу указанного закона.

4,8(20 оценок)
Это интересно:
Новые ответы от MOGZ: Математика
logo
Вход Регистрация
Что ты хочешь узнать?
Спроси Mozg
Открыть лучший ответ