М
Молодежь
К
Компьютеры-и-электроника
Д
Дом-и-сад
С
Стиль-и-уход-за-собой
П
Праздники-и-традиции
Т
Транспорт
П
Путешествия
С
Семейная-жизнь
Ф
Философия-и-религия
Б
Без категории
М
Мир-работы
Х
Хобби-и-рукоделие
И
Искусство-и-развлечения
В
Взаимоотношения
З
Здоровье
К
Кулинария-и-гостеприимство
Ф
Финансы-и-бизнес
П
Питомцы-и-животные
О
Образование
О
Образование-и-коммуникации
zadireevaalina
zadireevaalina
02.03.2021 10:44 •  Математика

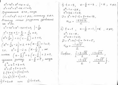
X⁴+4x³+x²-4x=-1 найти количество корней уравнения. подробное решение

👇
Ответ:
fereela
fereela
02.03.2021
Четыре вещественных различных корня. Решение на приложенном ниже листочке.

X⁴+4x³+x²-4x=-1 найти количество корней уравнения. подробное решение
4,4(77 оценок)
Открыть все ответы
Ответ:
1)  если  делитель  простое  число, то   для  деления  на  него  необходимо.  чтобы  он  входил в  составе  делителей  хотя  бы одного  из  производных.
2)  если  а  и  b  при  деление  1001  дают  одинаковые  остатки, то  сумма  остатков  должно делится  на 1001,  а  это  не  реально , т.к.  сумма  четное  и  не  может  равняться   2002 (остатки <1001).
3)   Любое  нечетное  число  на  24  не  делится,  однако  один  из  любых трех соседних  нечетных  чисел  делится  на  3.
  4)  У  простых   чисел  2  делителей (сам  число  и  1), если  число  кратен  15,  то  число  делителей  было  бы  минимум  3 (1;3;5).
4,7(95 оценок)
Ответ:
aarodin
aarodin
02.03.2021


а) Косметолог, юрист, лётчик.

б)Косметолог - "прихорашивает" человека, юрист - тот, кто, по сути, заставляет общество работать в рамках правового поля государства, лётчик - тот, который умеет водить некоторые летательные аппараты(самолёт, вертолёт, автожир).

в) Косметолог - пудра, Тень д/глаз, губная помада т. д., юрист - Ноутбук (иногда ручка и бумага), Лётчик - летательные аппараты.

г) Косметолог - добрый, терпеливый, умный по этой специальности, юрист - терпеливый,умный по этой специальности, ..., лётчик - умный по этой специальности, уметь управлять самолётом, ... .

4,5(44 оценок)
Это интересно:
Новые ответы от MOGZ: Математика
logo
Вход Регистрация
Что ты хочешь узнать?
Спроси Mozg
Открыть лучший ответ