М
Молодежь
К
Компьютеры-и-электроника
Д
Дом-и-сад
С
Стиль-и-уход-за-собой
П
Праздники-и-традиции
Т
Транспорт
П
Путешествия
С
Семейная-жизнь
Ф
Философия-и-религия
Б
Без категории
М
Мир-работы
Х
Хобби-и-рукоделие
И
Искусство-и-развлечения
В
Взаимоотношения
З
Здоровье
К
Кулинария-и-гостеприимство
Ф
Финансы-и-бизнес
П
Питомцы-и-животные
О
Образование
О
Образование-и-коммуникации
Tennisboy
Tennisboy
24.02.2021 07:41 •  Математика

Точка движется по окружности радиусом r=4м согласно уравнению s=2t^2 (s - в м, t- в с) в какой момент t нормальное ускорение an = 0.49 м/c^2?

👇
Ответ:
mitskevich077
mitskevich077
24.02.2021
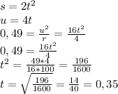
s=2t^2\\
u=4t\\
0,49= \frac{u^2}{r} = \frac{16t^2}{4} \\
0,49= \frac{16t^2}{4} \\
t^2= \frac{49*4}{16*100}= \frac{196}{1600}\\
t= \sqrt{ \frac{196}{1600} } = \frac{14}{40} =0,35

4,7(45 оценок)
Открыть все ответы
Ответ:
Finneas
Finneas
24.02.2021
Christoph Willibald Gluck wurde 1714 in Bayern geboren, in der Familie lesnichego.S Kindheit eine Leidenschaft für Musik .Glyuk, nach seinem Abschluss an der Jesuitenschule in Komotau in einem frühen Alter und von doma.1731 Jahr im Ruhestand war in Prag und Mitglied der Fakultät für Philosophie an der Prager universiteta.Poluchiv Bildung, Gluck im Jahre 1736 nach Wien und wurde in die Kapelle des Grafen Lobkowicz zugelassen. Im Dezember 1741 in Mailand, die Premiere der ersten Oper von Gluck - Opera seria "Ahasveros" nach einem Libretto von Pietro Metastasio. Der Erfolg von "Ahasveros" hat zu einer Aufträge aus verschiedenen Städten in Italien führte, und in den nächsten vier Jahren wurden nicht weniger erfolgreich Opera seria "Demetrius", "Port", "Demofont", "Hypermnestra" und drugie.V 1745 Gluck tourte erstellt London, und die nächsten fünf Jahre, und die nächsten fünf Jahre in anderen europäischen Hauptstädten, einschließlich Wien. Im Jahre 1754, auf Anregung der Steuer Wiener Bühnen J. Earl. Durazzo wurde er Dirigent und Komponist Hofoper ernannt. 24. September 1779 in Paris uraufgeführt letzten Gluck - "Echo und Narziss"; aber auch schon früher, im Juli, schlug der Komponist einen Schlaganfall, kann sich teilweise Lähmung. Im Herbst desselben Jahres Gluck nach Wien zurück, die nicht mehr links: neuer Angriff der Krankheit aufgetreten in Juni 1781.
4,7(41 оценок)
Ответ:
evtpasha2017
evtpasha2017
24.02.2021

Пошаговое объяснение:

1)

75-49

76-49

77-49

В этих примерах вычитаемое  неизменное - 49 , а уменьшаемое увеличивается на 1 единицу . Значит достаточно найти разницу в первом примере , и прибавить 1 , чтоб получит разницу во втором . К разнице второго прибавить 1 и получим разницу в третьем примере

75-49= 26

26+1= 76-49

27=27

27+1=77-49

28=28

2)

84-26

84-24

84-22

в этих примерах уменьшаемое постоянно , а вычитаемое уменьшается на 2  . Достаточно узнать разницу в первом примере , а в последующих она будет увеличиваться на 2 , по сравнению с предыдущим

84-26=58

58+2=84-24

60=60

60+2=84-22

62=62

3)В этих примерах первое слагаемое неизменно -53 , а второе слагаемое уменьшается на 3 единицы  , значит и сумма будет уменьшаться на 3 единицы.

53+9= 62

62-3=53+6

59= 59

59-3=53+3

56 = 56

4,6(33 оценок)
Новые ответы от MOGZ: Математика
logo
Вход Регистрация
Что ты хочешь узнать?
Спроси Mozg
Открыть лучший ответ