М
Молодежь
К
Компьютеры-и-электроника
Д
Дом-и-сад
С
Стиль-и-уход-за-собой
П
Праздники-и-традиции
Т
Транспорт
П
Путешествия
С
Семейная-жизнь
Ф
Философия-и-религия
Б
Без категории
М
Мир-работы
Х
Хобби-и-рукоделие
И
Искусство-и-развлечения
В
Взаимоотношения
З
Здоровье
К
Кулинария-и-гостеприимство
Ф
Финансы-и-бизнес
П
Питомцы-и-животные
О
Образование
О
Образование-и-коммуникации
zhjdjq2005
zhjdjq2005
23.05.2021 03:05 •  Математика

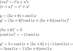
Найти производную функции: y=(5x+6)*cos11x

👇
Ответ:
luszdncsjmn
luszdncsjmn
23.05.2021
(vu)'=v'u+u'v \\ (v+u)'=v'+u' \\ \\ y=(5x+6)*cos11x \\ y'=(5x+6)'cos11x+(5x+6)(cos11x)' \\ \\ (5x+6)'=5 \\ (cos11x)'=-11sin11x \\ \\ y'=5*cos11x+(5x+6)*(-11sin11x)= \\\ =5cos11x-11(5x+6)sin11x
4,8(59 оценок)
Открыть все ответы
Ответ:
ми34ми56
ми34ми56
23.05.2021
1

1. Как называются числа, задающие положение точки в координатной плоскости?

А) вершинами

Б) целыми

Р) координатами

2. Под каким углом пересекаются координатные прямые х и у, образующие систему координат на плоскости?

А) 60°

Б) 180°

И) 90

3. Сколько чисел надо указать, чтобы задать положение точки на координатной плоскости?

А) 1

С) 2

В) 3

4. Как называется первое из чисел, задающее положение точки на координатной плоскости?

У) абсцисса

Б) ордината

В) аппликата

5. Как называется второе из чисел, задающее положение точки на координатной плоскости?

А) абсцисса

Ю) ордината

В) аппликата

6. В каком координатном углу (четверти) лежит точка С (7; -4)

А) первом

Б) втором

В) третьем

С) четвёртом

7. В каком координатном углу (четверти) лежит точка В (-9; 2)

А) первом

О) втором

В) третьем

Г) четвёртом

8. В каком координатном углу (четверти) лежит точка С (-2; -5)

А) первом

Б) втором

З) третьем

Ю) четвёртом

9. В каком координатном углу (четверти) лежит точка К (7;8)

В) первом

Б) втором

А) третьем

Г) четвёртом

10. На какой оси лежит точка, имеющая координаты (0; -2)

А) Ох

Е) Оу

Ж) не знаю

11. На какой оси лежит точка, имеющая координаты (3;0)

З) Ох

Б) Оу

К) не знаю

12. Какая запись соответствует условию: точка М с абсциссой -2 и ординатой 9

А) М (9; -2)

Д) М (-2; 9)

Л) М (2;9)

13. Что общего имеют все точки, лежащие на оси абсцисс?

А) их абсцисса равна нулю

И) их ордината равна нулю

К) совпадают

14. Что общего имеют все точки, лежащие на оси ординат?

Е) Совпадают

Я) их абсцисса равна нулю

Б) их ордината равна нулю

 

Пошаговое объяснение:

 

4,7(27 оценок)
Ответ:
Princess1111Yulua
Princess1111Yulua
23.05.2021
1

1. Как называются числа, задающие положение точки в координатной плоскости?

А) вершинами

Б) целыми

Р) координатами

2. Под каким углом пересекаются координатные прямые х и у, образующие систему координат на плоскости?

А) 60°

Б) 180°

И) 90

3. Сколько чисел надо указать, чтобы задать положение точки на координатной плоскости?

А) 1

С) 2

В) 3

4. Как называется первое из чисел, задающее положение точки на координатной плоскости?

У) абсцисса

Б) ордината

В) аппликата

5. Как называется второе из чисел, задающее положение точки на координатной плоскости?

А) абсцисса

Ю) ордината

В) аппликата

6. В каком координатном углу (четверти) лежит точка С (7; -4)

А) первом

Б) втором

В) третьем

С) четвёртом

7. В каком координатном углу (четверти) лежит точка В (-9; 2)

А) первом

О) втором

В) третьем

Г) четвёртом

8. В каком координатном углу (четверти) лежит точка С (-2; -5)

А) первом

Б) втором

З) третьем

Ю) четвёртом

9. В каком координатном углу (четверти) лежит точка К (7;8)

В) первом

Б) втором

А) третьем

Г) четвёртом

10. На какой оси лежит точка, имеющая координаты (0; -2)

А) Ох

Е) Оу

Ж) не знаю

11. На какой оси лежит точка, имеющая координаты (3;0)

З) Ох

Б) Оу

К) не знаю

12. Какая запись соответствует условию: точка М с абсциссой -2 и ординатой 9

А) М (9; -2)

Д) М (-2; 9)

Л) М (2;9)

13. Что общего имеют все точки, лежащие на оси абсцисс?

А) их абсцисса равна нулю

И) их ордината равна нулю

К) совпадают

14. Что общего имеют все точки, лежащие на оси ординат?

Е) Совпадают

Я) их абсцисса равна нулю

Б) их ордината равна нулю

 

Пошаговое объяснение:

 

4,7(16 оценок)
Новые ответы от MOGZ: Математика
logo
Вход Регистрация
Что ты хочешь узнать?
Спроси Mozg
Открыть лучший ответ