М
Молодежь
К
Компьютеры-и-электроника
Д
Дом-и-сад
С
Стиль-и-уход-за-собой
П
Праздники-и-традиции
Т
Транспорт
П
Путешествия
С
Семейная-жизнь
Ф
Философия-и-религия
Б
Без категории
М
Мир-работы
Х
Хобби-и-рукоделие
И
Искусство-и-развлечения
В
Взаимоотношения
З
Здоровье
К
Кулинария-и-гостеприимство
Ф
Финансы-и-бизнес
П
Питомцы-и-животные
О
Образование
О
Образование-и-коммуникации
kupmvik
kupmvik
05.02.2022 02:45 •  Математика

Сделайте ответ предельно ясно описано,и с полным ответом,и решением,.

👇
Ответ:
armenchik2007
armenchik2007
05.02.2022
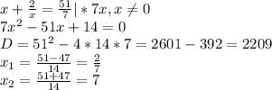
x+ \frac{2}{x} = \frac{51}{7} |*7x,x \neq 0\\
7x^2-51x+14=0\\
D = 51^2-4*14*7=2601-392=2209\\
x_1= \frac{51- 47} {14} = \frac{2}{7} \\
x_2= \frac{51+ 47}{14} =7
4,5(36 оценок)
Открыть все ответы
Ответ:
Malika89551
Malika89551
05.02.2022
 Чтобы сложить два числа с разными знаками, надо:    

          1)   из большего модуля слагаемых вычесть меньший;    

          2)   поставить перед полученным числом знак того слагаемого,  
                модуль   которого   больше.    

      Например:  

                                          7 > 4  

                      4 + ( – 7)       =       – ( 7   –   4 )   =   – 3 ;    

                                          13 > 7  

                    13 + ( – 7)         =         + ( 13   –   7 )   =   6 ;    

                                          13 > 14  

                – 13   +   14           =         – ( 13   –   14)       =     – ( 412   –   312)     =     – 112 .    
4,4(27 оценок)
Ответ:
CawaVlasov
CawaVlasov
05.02.2022
Вообще-то ошибка  в условии, потому что готовить воду можно только путем атомных реакций. Но если ты имела ввиду сколько оладьев то вот решение:
На 1 овсяную оладью необходимо 12,5 граммов масла
18,75 сахара и 25 грамм хлопьев.
Теперь узнаем сколько оладьев можно приготовить если использовать только 1 элемент(потом выберем из них минимум, ведь мы не можем готовить оладьи чисто из масла и т.д.)получиться 56, 40 и 32.Выбирая минимум мы не ошибемся, потому что тех больше и тех ингридиентов хватит. ответ: 32 оладьи
                                                             
4,4(21 оценок)
Это интересно:
Новые ответы от MOGZ: Математика
logo
Вход Регистрация
Что ты хочешь узнать?
Спроси Mozg
Открыть лучший ответ