М
Молодежь
К
Компьютеры-и-электроника
Д
Дом-и-сад
С
Стиль-и-уход-за-собой
П
Праздники-и-традиции
Т
Транспорт
П
Путешествия
С
Семейная-жизнь
Ф
Философия-и-религия
Б
Без категории
М
Мир-работы
Х
Хобби-и-рукоделие
И
Искусство-и-развлечения
В
Взаимоотношения
З
Здоровье
К
Кулинария-и-гостеприимство
Ф
Финансы-и-бизнес
П
Питомцы-и-животные
О
Образование
О
Образование-и-коммуникации
SlowMoe
SlowMoe
25.02.2022 15:45 •  Математика

1)|1/х|=5/8 2)|1/у|=2/7 3)|1/z|=2/5 4)|2/х|=1/3

👇
Ответ:
fghjdgfdjhg
fghjdgfdjhg
25.02.2022
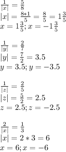
\frac{1}{|x|} = \frac{5}{8} \\|x|= \frac{8*1}{5} = \frac{8}{5} =1 \frac{3}{5} \\x=1 \frac{3}{5}; x=-1 \frac{3}{5} \\ \\ \frac{1}{|y|} = \frac{2}{7} \\|y|= \frac{7}{2} =3.5\\
y=3.5; y=-3.5\\ \\ \frac{1}{|z|} =\frac{2}{5} \\|z|=\frac{5}{2}=2.5\\z=2.5; z=-2.5\\ \\ \frac{2}{|x|}=\frac{1}{3} \\|x|=2*3=6\\x=6; x=-6
4,4(61 оценок)
Открыть все ответы
Ответ:
alinaby13
alinaby13
25.02.2022

Обозначим длину прямоугольника - а,

ширину - в, высоту - с.

Известно, что в=3, с=2.

Найдём а.

Известно, что площадь передней грани равна 12, т.е. ас=12

                                                                                    а*2=12

                                                                                     а=12:2

                                                                                     а=6

Найдём объём по формуле V=abc

                                          V=6*3*2=36

 

Теперь надо найти площади остальных граней.

Задняя грань равна передней, т.е. 12

боковые грани равны вс=3*2=6

нижняя и верхняя равны ав=6*3=18

4,8(23 оценок)
Ответ:
Катти16
Катти16
25.02.2022

Обозначим длину прямоугольника - а,

ширину - в, высоту - с.

Известно, что в=3, с=2.

Найдём а.

Известно, что площадь передней грани равна 12, т.е. ас=12

                                                                                    а*2=12

                                                                                     а=12:2

                                                                                     а=6

Найдём объём по формуле V=abc

                                          V=6*3*2=36

 

Теперь надо найти площади остальных граней.

Задняя грань равна передней, т.е. 12

боковые грани равны вс=3*2=6

нижняя и верхняя равны ав=6*3=18

4,8(20 оценок)
Новые ответы от MOGZ: Математика
logo
Вход Регистрация
Что ты хочешь узнать?
Спроси Mozg
Открыть лучший ответ