М
Молодежь
К
Компьютеры-и-электроника
Д
Дом-и-сад
С
Стиль-и-уход-за-собой
П
Праздники-и-традиции
Т
Транспорт
П
Путешествия
С
Семейная-жизнь
Ф
Философия-и-религия
Б
Без категории
М
Мир-работы
Х
Хобби-и-рукоделие
И
Искусство-и-развлечения
В
Взаимоотношения
З
Здоровье
К
Кулинария-и-гостеприимство
Ф
Финансы-и-бизнес
П
Питомцы-и-животные
О
Образование
О
Образование-и-коммуникации
LeysAn11234
LeysAn11234
11.03.2023 01:23 •  Математика

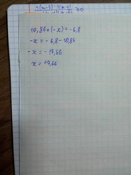
10,86+(−x)=−6.8 найдите чему равен x

👇
Ответ:
-x= -17,66
x= 17,66
Вот пишу чтобы вопрос был
4,6(82 оценок)
Ответ:
uhudongoair
uhudongoair
11.03.2023
ответ: x = 17.66
.....
10,86+(−x)=−6.8 найдите чему равен x
4,4(69 оценок)
Открыть все ответы
Ответ:
дуыуд
дуыуд
11.03.2023
Например: В каждой бочке по 10 ведер воды.                                                    В 1 бочку добавили: 10+7=17(ведер воды стало в 1 бочке)                                Из 2 бочки взяли: 10-5=5(ведер воды осталось во 2 бочке)                                                            17-5=12(на 12 ведер воды больше в 1 бочке)                         ответ: В 1 бочке стало на 12 ведер воды больше.                                                            ответ: 12-5=7(на 7 ведер воды больше в 1 бочке,чем во второй.
4,6(58 оценок)
Ответ:
ksenla200xxx
ksenla200xxx
11.03.2023
1. Правовой обычай, нормативный акт, договор, прецедент (характерен для англосаксонской правовой системы) и др.
2. Законодательные органы: Федеральное собрание: Совет Федераций и Гос. Дума Издают Федеральные законы,.ратифицируют международные соглашения и др.
А также представительские органы субъектов Федерации.(региальные нормативные акты)
3 . Совокупность норм, регулирующих общественные отношения в какой либо определенной сфере (государственное право, земельное, семейное, гражданское, уголовное и т.д.)
4. Проект закона - вносит в парламент или Президент, или депутат, или правительство. Депутаты изучают законопроект, а потом обсуждают на заседаниях-сессиях. После подписания закона президентом, он вступает в силу.
4,4(35 оценок)
Новые ответы от MOGZ: Математика
logo
Вход Регистрация
Что ты хочешь узнать?
Спроси Mozg
Открыть лучший ответ