

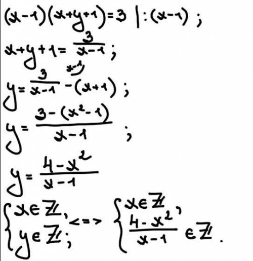
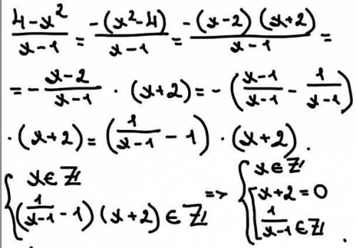
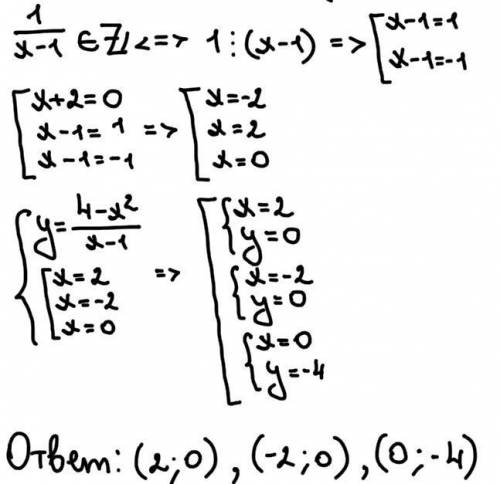
ответ:
-где происходят чудеса?
-за тридевять земель.
-а можно мне на полчаса попасть туда?
-проверь.
-а где же я возьму билет?
-в фант-азию билетов нет.
из серых будней никогда
туда не ходят поезда,
и не летает самолет.
и даже катер не плывет.
-выходит, в сказку нет пути?
-он есть.
-но как его найти?
как мне попасть в тот край?
-я тебе один совет.
послушай и решай.
дорога в сказку далека,
длиною в целый шаг.
шагни - и знай наверняка,
ты - чародей и маг.
-ты шутишь?
-ну, конечно, нет!
но только есть один секрет:
чтоб в волшебство открылась дверь,
ты в чудеса, дружок, поверь.
кто знает, может так случиться,
что в дом твой сказка постучится.
пошаговое объяснение: