ответ. 1) - 8, - 4, 0,4, 8.
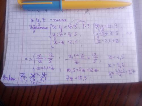
2) первое 3,6, второе 2,7, третье 1,5.
Решение задания приложено.

ответ:Решим уравнение и найдем неизвестное значение х.
x * (x - 2) = (x - 3) * (x + 3);
Раскроем скобки и приведем подобные значения.
x * x - x * 2 = x^2 - 3^2;
x^2 - 2 * x = x^2 - 9;
Известные значения перенесем на одну сторону, а неизвестные значения на противоположную сторону. При переносе значений, их знаки меняются на противоположный знак. То есть получаем:
x^2 - 2 * x - x^2 = -9;
-2 * x = -9;
2 * x = 9;
x = 9/2;
x = 4.5;
Значит, при х = 4.5 выражения x * (x - 2) и (x - 3) * (x + 3) равны.
ответ: х = 4,5.
Здравствуйте!
Начну с конца. Так как за 3 матча команда пропустила 1 мяч следовательно и проиграла 1 матч, со счетом 1 : 0.
Остается 2 матча один из которых команда сыграла в ничью а другой выйграла , при этом забив 3 мяча.
Выйграла матч команда со счетом 3 : 0.
Так как с другим счетом выйграть не могла. Если бы победа была со счетом 2 : 1 то по условиям задачи команда должна была пропустить 2 мяча а у нас по условиям команда пропустила 1.
В ничью команда сыграла со счетом 0 : 0.
Так как мы выяснили что команда один матч выйграла 3 : 0 и проиграла второй 1 : 0 и по условиям задачи пропущеных и забитых мячей больше нет, то остается одна ничья в которой небыло забито не одного гола 0 : 0!
Пошаговое объяснение:
Решение во вложении: