М
Молодежь
К
Компьютеры-и-электроника
Д
Дом-и-сад
С
Стиль-и-уход-за-собой
П
Праздники-и-традиции
Т
Транспорт
П
Путешествия
С
Семейная-жизнь
Ф
Философия-и-религия
Б
Без категории
М
Мир-работы
Х
Хобби-и-рукоделие
И
Искусство-и-развлечения
В
Взаимоотношения
З
Здоровье
К
Кулинария-и-гостеприимство
Ф
Финансы-и-бизнес
П
Питомцы-и-животные
О
Образование
О
Образование-и-коммуникации
Nazym99
Nazym99
20.06.2020 02:55 •  Математика

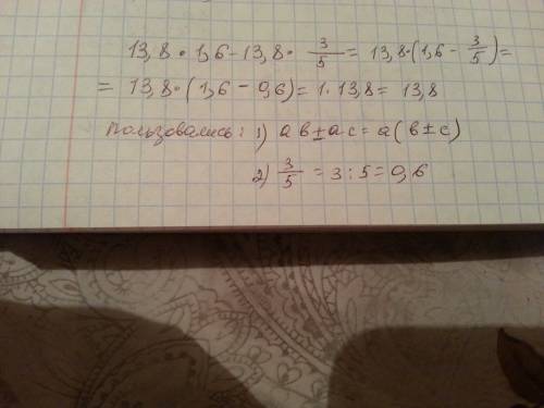
Найдите значение выражения, используя наиболее удобный порядок вычислений: 13, 8 * 1, 6 - 13, 8 * 3/5 подробно, !

👇
Ответ:
n4rut016
n4rut016
20.06.2020
ответ ответ ответ ответ ответ ответ
Найдите значение выражения, используя наиболее удобный порядок вычислений: 13, 8 * 1, 6 - 13, 8 * 3/
4,7(36 оценок)
Открыть все ответы
Ответ:
vikaivanyk
vikaivanyk
20.06.2020
Простое предложение может быть односоставным (один главный член) и двусоставным (оба главных члена - подлежащее и сказуемое) .
Односоставные бывают двух видов: назывные (если главный член - подлежащее) и 4 группы, если главный член-сказуемое, это: определенно-личные, безличные, неопределенно-личные, обобщенно-личные.
Также простые предложения по типу высказывания делятся на: повествовательные, вопросительные, побудительные.
По интонации простые предложения могут быть восклицательными и невосклицательными.
Если есть второстепенные члены, то простое предложение является распространенным, если только подлежащее и сказуемое, то нераспространенное.
4,4(59 оценок)
Ответ:
HsbHbaj
HsbHbaj
20.06.2020
Казаки-некрасовцы жили общиной, поэтому наказания для них устанавливал общинный круг и атаман, которого выбирал раз в год все тот же круг. В основном законы были справедливы, как на то время - никого на кол не садили, врагам в плен не продавали, не было рабов (то бишь крепостных), муж не имел право плохо обращаться с женой (даже так), и его наказывали, если он причинял ей вред, но жену за измену мужу умертвляли. Даже существовал вариант развода, что решал общинный круг. Все тот же круг, да. И это минус. Потому что общинный круг решал все, атаман был только для дел хозяйственных. То есть по власть по типу круга старейшин не есть хорошо, будет много недовольных. Также плох был закон о том, что "В сговор с Росией никогда не вступать" - казаки много натерпелись от России из-за этого; и вообще законы в общине были довольно строгие, такие, которые подгоняли всех под одну рамку - с тем-то жениться нельзя, то-то делать нельзя, а за повинности всегда наказывали, за многие - жестко. В общем, сильные стороны - нет крепостных, справедливые законы для людей (тех, кто был законопослушным, конечно); нет деления на иерархию (кроме круга общины), не особо большая воинственность, если казакам не мешали; минусы - один главный орган управления, постоянное переизбирание и малое количество функций отамана; жестокие наказания для провинившихся; строгие рамки закона, не позволявшие заниматься тем, что нужно было ему, а не подчинялось общине; запрет жениться на людях других стран (турках, греках), едва ли не единственное, за что, кроме измены, карали смертью.
4,7(59 оценок)
Новые ответы от MOGZ: Математика
Полный доступ к MOGZ
Живи умнее Безлимитный доступ к MOGZ Оформи подписку
logo
Вход Регистрация
Что ты хочешь узнать?
Спроси Mozg
Открыть лучший ответ