М
Молодежь
К
Компьютеры-и-электроника
Д
Дом-и-сад
С
Стиль-и-уход-за-собой
П
Праздники-и-традиции
Т
Транспорт
П
Путешествия
С
Семейная-жизнь
Ф
Философия-и-религия
Б
Без категории
М
Мир-работы
Х
Хобби-и-рукоделие
И
Искусство-и-развлечения
В
Взаимоотношения
З
Здоровье
К
Кулинария-и-гостеприимство
Ф
Финансы-и-бизнес
П
Питомцы-и-животные
О
Образование
О
Образование-и-коммуникации
olgap51olga
olgap51olga
27.10.2021 12:22 •  Математика

Найдите площадь трапеции у которой параллельные стороны 60 см и 20 см а непараллельные 13 см и 37 см

👇
Ответ:

Продлим стороны до параллелограмма AFCD; FA = CD = 37 см и FC = AD = 60 см. Отрезок FB = FC - BC = 60 - 20 = 40 см. Найдем площадь треугольника AFB по формуле Герона:

\rm p=\dfrac{FA+FB+BA}{2}=\dfrac{37+40+13}{2}=45 см - полупериметр

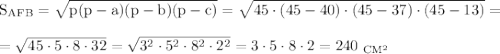
\rm S_{AFB}=\sqrt{p(p-a)(p-b)(p-c)}=\sqrt{45\cdot(45-40)\cdot(45-37)\cdot(45-13)}=\\ \\ =\sqrt{45\cdot5\cdot8\cdot32}=\sqrt{3^2\cdot5^2\cdot8^2\cdot2^2}=3\cdot5\cdot8\cdot2=240~_{CM^2}


С другой стороны площадь треугольника равна \rm S_{AFB}=\dfrac{FB\cdot AE}{2} откуда высота \rm AE=\dfrac{2S}{FB}=\dfrac{2\cdot240}{40}=12 см. Высота треугольника AFB равна высоте трапеции, тогда


\rm S_{ABCD}=\dfrac{AD+BC}{2}\cdot AE=\dfrac{60+20}{2}\cdot12=480 см²



ответ: 480 см².


Найдите площадь трапеции у которой параллельные стороны 60 см и 20 см а непараллельные 13 см и 37 см
4,4(28 оценок)
Открыть все ответы
Ответ:
Katruna24
Katruna24
27.10.2021

Пошаговое объяснение: Так как уравнение должно иметь ровно 1 корень=> этот корень кратности 3 и значит данный многочлен раскладывается на (bx+-c)^3 и так как корень отрицательный значит берём знак +;

(Bx+C)^3=(Bx)^3+3*(Bx)^2*c+3*bx*c^2+c^3=3x^3-x^2-7x+a-2

Из этого видно, что b= Кубическийкореньиз3=>3x^3-x^2-7x+a-2=3x^3+3*(кубическийкореньиз3)^2*x^2*c+3*кубическийкореньиз3*c^2*x+c^3

-x^2-7x+a-2=3*(кубическийкореньиз3)^2*x^2*c+3*кубическийкореньиз3*c^2*x+c^3 из этого с легкостью можем найти С.

-x^2=3*(кубическийкореньиз3)^2*x^2*c

-1=3*(кубическийкореньиз3)^2*c

С=-1/(3*(кубическийкореньиз3)^2)

=>a-2=(-1/(3*(кубическийкореньиз3)^2))^3

a-2=-1/(27*9)

a-2=-1/243

a=485/243

4,4(88 оценок)
Ответ:
likavudu
likavudu
27.10.2021
1. Люси. У неё золотисто-коричневые волосы, глаза серо-голубые. Характер у неё настойчивый, она невероятно активная, храбрая.
2. Сьюзен. У Сьюзен темные волосы, зеленовато-голубые глаза, она статная, сильная девушка. Она начитанная, умная, но немного зазнаистая.
3. Эдмунд. Эдмунд — кареглазый брюнет со светлой кожей, более низкий ростом, чем Питер. Подчас гораздо более рассудительный, чем старший брат. Сначала он легко поддается чужому влиянию, но потом становится более мудрым и разборчивым.
4. Питер. У него голубые глаза, русые волосы, он достаточно высокий и статный. Нервный, импульсивный, но вместе с тем — невероятно заботливый, особенно c младшей, Люси.
5. Принц Каспиан.  У него карие глаза, темные волосы. Он наблюдательный, смелый и благородный.
4,8(27 оценок)
Это интересно:
Новые ответы от MOGZ: Математика
logo
Вход Регистрация
Что ты хочешь узнать?
Спроси Mozg
Открыть лучший ответ