М
Молодежь
К
Компьютеры-и-электроника
Д
Дом-и-сад
С
Стиль-и-уход-за-собой
П
Праздники-и-традиции
Т
Транспорт
П
Путешествия
С
Семейная-жизнь
Ф
Философия-и-религия
Б
Без категории
М
Мир-работы
Х
Хобби-и-рукоделие
И
Искусство-и-развлечения
В
Взаимоотношения
З
Здоровье
К
Кулинария-и-гостеприимство
Ф
Финансы-и-бизнес
П
Питомцы-и-животные
О
Образование
О
Образование-и-коммуникации
stylestudionmovp557
stylestudionmovp557
10.06.2021 19:19 •  Математика

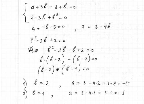
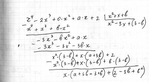
При каких значениях а и b многочлен x^4-2x^3+ax+2 делится на x^2+x+b (разделить в столбик)

👇
Ответ:
hudo1
hudo1
10.06.2021
Я на листочках решил, прикрепил решение ниже...

При каких значениях а и b многочлен x^4-2x^3+ax+2 делится на x^2+x+b (разделить в столбик)
При каких значениях а и b многочлен x^4-2x^3+ax+2 делится на x^2+x+b (разделить в столбик)
4,4(87 оценок)
Открыть все ответы
Ответ:
frikadel1
frikadel1
10.06.2021
Граф (1789), затем князь (1799) Алекса́ндр Васи́льевич Суво́ров (13 (24) ноября 1730 — 6 (18) мая 1800) — великий русский полководец, основоположник отечественной военной теории, национальный герой России. Генералиссимус (1799), генерал-фельдмаршал Священной Римской империи, великий маршал войск пьемонтских, кавалер всех российских орденов своего времени, вручавшихся мужчинам, а также семи иностранных. С 1789 года носил почётное прозвание граф Суворов-Рымникский, а с 1799 года — князь Италийский граф Суворов-Рымникский. За всю свою карьеру полководца не проиграл ни одного сражения, неоднократно наголову разбивал значительно превосходящие по численности силы противника. Известен своей заботой о солдатах, в том числе участием в разработке новой практичной полевой униформы, на смену униформе «на прусский манер».


Вот все его подвиги, и моё отношение к нему просто отличное! Он не только смелый, хитрый, отважный но он и отличный стратег!
4,6(76 оценок)
Ответ:
troft
troft
10.06.2021
дорогой мой друг, всё на самом деле очень просто резюме это как-бы самореклама ведь Эти люди которые в твоей взрослой жизни будут брать тебя на работу они не знают ничего о тебе
Поэтому в режиме не надо описать свои достоинства конечно же не жизненные достоинства а профессиональная иными словами какой ВУЗ закончила ты? или закончил , что ты умеешь делать по своей профессии какими иностранными языками ты владеешь и так далее и тому подобное Ничего личного, всё только по работе работодатель должен понять Что ты именно тот человек который ему нужен на работу понятно? сможешь написать самостоятельно теперь? Если нет, скажи об этом в комментариях я напишу это режимы от себя
4,7(13 оценок)
Это интересно:
Новые ответы от MOGZ: Математика
logo
Вход Регистрация
Что ты хочешь узнать?
Спроси Mozg
Открыть лучший ответ