М
Молодежь
К
Компьютеры-и-электроника
Д
Дом-и-сад
С
Стиль-и-уход-за-собой
П
Праздники-и-традиции
Т
Транспорт
П
Путешествия
С
Семейная-жизнь
Ф
Философия-и-религия
Б
Без категории
М
Мир-работы
Х
Хобби-и-рукоделие
И
Искусство-и-развлечения
В
Взаимоотношения
З
Здоровье
К
Кулинария-и-гостеприимство
Ф
Финансы-и-бизнес
П
Питомцы-и-животные
О
Образование
О
Образование-и-коммуникации
Keonaks
Keonaks
27.06.2022 14:21 •  Математика

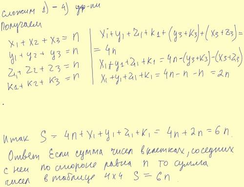
Вклетки таблицы 4×4 вписаны числа (возможно, нецелые) так, что для любой клетки сумма чисел в клетках, соседних с ней по стороне, равна 33. чему равна сумма всех чисел в таблице?

👇
Ответ:
annamasha2004
annamasha2004
27.06.2022
Рорпороарлроаоаророрпорпоп
Вклетки таблицы 4×4 вписаны числа (возможно, нецелые) так, что для любой клетки сумма чисел в клетка
Вклетки таблицы 4×4 вписаны числа (возможно, нецелые) так, что для любой клетки сумма чисел в клетка
Вклетки таблицы 4×4 вписаны числа (возможно, нецелые) так, что для любой клетки сумма чисел в клетка
4,4(16 оценок)
Открыть все ответы
Ответ:
juliaked1
juliaked1
27.06.2022
Четырехкантный брус.Четырехкантный брус относиться к самым дешевым пиломатериалам, применяемым в стеновом строительстве. И все благодаря тому, что изготовление четырехкантного бруса не требует наличие серьезных производственных мощностей. Второй момент, определяющий доступность этого пиломатериала это применение таких сортов пиловочника, которые не пригодны для производства таких пиломатериалов как профилированный брус или оцилиндрованное бревно. Достаточно обладать начальными плотницкими навыками, чтобы самостоятельно в кустарных условиях производить четырехкантный брус неплохого качества. Изготавливается такой брус двумя тесанием и пилением древесины. Тесание. Несмотря на то, что тесание древесины как производства пиломатериалов очень трудоемок и давно устарел, он имеет ряд неоспоримых преимуществ перед пилением древесины. Все дело в том, что при распиловке дерева его поверхность напоминает рваную рану, то есть поры древесины остаются открытыми, куда быстро попадает влага. Ну и как следствие срок эксплуатации таких пиломатериалов быстро сокращается. Во время тесания древесины происходит как бы разрыв древесных волокон по их направлению от ствола к верхушке дерева (бревна). То есть структура волокон остаются практически ненарушенной и за счет использования топора при работе поры древесины остаются полностью закрытыми.
Чтобы самостоятельно оттесать бревно на 4 канта (с четырех сторон) из инструментов потребуется специальный топор. Такой топор имеет узкий обух, плоское, длинное лезвие, заточенное с двух или с одной стороны (фото 1). Так же потребуется короткий отрезок бревна (подкладень) и шнурок, по которому отбивают линию одного канта. Перед тем как тесать бревно его хорошенько закрепляют на подкладне с металлических скоб или заклинивают в подкладне в заранее сделанном запиле под бревно. После с двух торцевых сторон бревна производят его разметку и по уже готовой разметке вдоль бревна натягивают шнурок, очерчивая линию отбоя мелом, углем или карандашом.
После чего топором делают небольшие надрубы, двигаясь от макушки к комлю бревна. Когда надрубы сделаны аккуратно, не заступая за линию разметки, оттесывают бревно на один кант (фото 2). Точно такую же операцию проводят с оставшихся трех сторон бревна и получают тем самым четырехкантный брус. Пиление. Для распиловки бревна на четырехкантный брус можно использовать полупрофессиональную или профессиональную бензопилу. Для этих целей бревно укрепляют и размечают вышеописанным Вместо надрубов делают поперечные пропилы до линии разметки и путем продольной распиловки удаляют лишнюю древесину.
4,8(90 оценок)
Ответ:
Angelinasokolovich
Angelinasokolovich
27.06.2022
1) (1-cosl)(1+cosl) =  1² - cos²l = 1 - cos²l = sin²l.

2) tgL* ctgL - sin²L = (sinL/cosL)*(cosL/sinL) - sin²L = 1 - sin²L = 
    = cos²L.

3)2cosx-1=0
   cosx = 1/2,
   x = Arc cos(1/2)
   x = (-π/3) + 2πk,  k ∈ Z.
   x = (π/3) + 2πk,  k ∈ Z.

4) sin2x=√2/2.
    2x = Arc sin(√2/2),
     2x = (π/4) + 2πk,  k ∈ Z.
       x = (π/4) + πk,    k ∈ Z.
     2x = (3π/4) + 2πk,  k ∈ Z.
       x = (3π/8) + πk,  k ∈ Z.

5) 4cos²x - 11sinx - 1 = 0.
    4(1 - sin²x) - 11sinx - 1 = 0.
    4 - 4sin²x - 11sinx - 1 = 0.
    -4sin²x - 11sinx + 3 = 0.
    4sin²x + 11sinx - 3 = 0.
   Произведём замену: sinx = у.
   Получаем квадратное уравнение:
   4у² + 11у - 3 = 0.
Квадратное уравнение, решаем относительно y: 
Ищем дискриминант:D=11^2-4*4*(-3)=121-4*4*(-3)=121-16*(-3)=121-(-16*3)=121-(-48)=121+48=169;
Дискриминант больше 0, уравнение имеет 2 корня:y₁=(√169-11)/(2*4)=(13-11)/(2*4)=2/(2*4)=2/8=1/4;y₂=(-√169-11)/(2*4)=(-13-11)/(2*4)=-24/(2*4)=-24/8=-3  это значение отбрасываем.

Обратная замена: x = Arc sin(y)
x = Arc sin(1/4) = 0,25268 + 2πk,  k ∈ Z.
x = (π - 0,25268) + 2πk = 2,888912 + 2πk,  k ∈ Z.
Вот несколько конкретных значений х:
х = -3,3942729,
х = 0,2526825,
х = 2,88891.
4,4(26 оценок)
Новые ответы от MOGZ: Математика
logo
Вход Регистрация
Что ты хочешь узнать?
Спроси Mozg
Открыть лучший ответ