М
Молодежь
К
Компьютеры-и-электроника
Д
Дом-и-сад
С
Стиль-и-уход-за-собой
П
Праздники-и-традиции
Т
Транспорт
П
Путешествия
С
Семейная-жизнь
Ф
Философия-и-религия
Б
Без категории
М
Мир-работы
Х
Хобби-и-рукоделие
И
Искусство-и-развлечения
В
Взаимоотношения
З
Здоровье
К
Кулинария-и-гостеприимство
Ф
Финансы-и-бизнес
П
Питомцы-и-животные
О
Образование
О
Образование-и-коммуникации
Azozylya
Azozylya
31.03.2021 10:00 •  Математика

Запиши пропорцию: 8 так относится к 4,8, как 2 относится к 1,2.

👇
Ответ:
nik232451
nik232451
31.03.2021
8/4,8=2/1,2
1,2*8=4,8*2
9,6=9,6
4,7(1 оценок)
Ответ:
TheGrigory
TheGrigory
31.03.2021
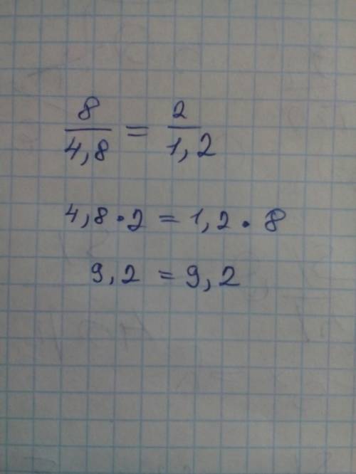
8/4,8=2/1,2
9,2=9,2
Равенство верно
Запиши пропорцию: 8 так относится к 4,8, как 2 относится к 1,2.
4,4(73 оценок)
Открыть все ответы
Ответ:
123451415
123451415
31.03.2021

ответ:

25

пошаговое объяснение:

тебе "сказано", что на праздник нужно 250 бутылок.

при этом ты покупаешь упаковки по 6 бутылок в каждой, т.е. 1 уп. = 6 б.

значит ты просто берёшь необходимое количество бутылок (250) и делишь это число на количество бутылок , которые находятся в 1 упаковке, тем самым получая число 25 : )

если , то я решал таким образом: сколько нужно взять число "25", чтобы получить 250 ?

1 => 25

2 => 50

3 => 75

4 => 100

5=> 125 и так

25 => 250

надеюсь, чо объяснил доступно ; )

4,4(35 оценок)
Ответ:
yakovlev59
yakovlev59
31.03.2021

На коробках надписи

ЧБ  ЧЧ  ББ

(Ч -чёрный,Б-белый)

надписи неверные

Берём коробку с надписью ЧБ,вынимаем один шар,если он чёрный,то в этой коробке 2 чёрных шара (ЧЧ,так как надпись ЧБ неверная).

Тогда в коробке с надписью ЧЧ -2 белых шара,а в коробке с надписью ББ -1 чёрный шар+1 белый.

другой вариант

Вытаскиваем шар из коробки с надписью ЧБ-он белый,тогда в коробке 2 белых шара(надпись ЧБ неверна,чёрный шар там быть не может).

Тогда,в коробке с надписью ЧБ -2 чёрных шара, а коробке с надписью ЧЧ - 1 чёрный+  белый шар.

ответ : шар нужно вытащить из коробки с надписью ЧБ.

4,8(26 оценок)
Новые ответы от MOGZ: Математика
logo
Вход Регистрация
Что ты хочешь узнать?
Спроси Mozg
Открыть лучший ответ