М
Молодежь
К
Компьютеры-и-электроника
Д
Дом-и-сад
С
Стиль-и-уход-за-собой
П
Праздники-и-традиции
Т
Транспорт
П
Путешествия
С
Семейная-жизнь
Ф
Философия-и-религия
Б
Без категории
М
Мир-работы
Х
Хобби-и-рукоделие
И
Искусство-и-развлечения
В
Взаимоотношения
З
Здоровье
К
Кулинария-и-гостеприимство
Ф
Финансы-и-бизнес
П
Питомцы-и-животные
О
Образование
О
Образование-и-коммуникации
polinamanush155
polinamanush155
27.09.2021 07:41 •  Математика

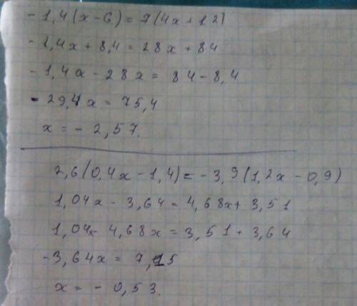
Решите уравнение -1,4(х-6)=7(4х+12); 2,6(0,4х-1,4)=- 3,9(1,2х-0,9)

👇
Ответ:
alecsYouTube
alecsYouTube
27.09.2021
Если я знаю это так будет
Решите уравнение -1,4(х-6)=7(4х+12); 2,6(0,4х-1,4)=- 3,9(1,2х-0,9)
4,6(47 оценок)
Открыть все ответы
Ответ:
timofee1999
timofee1999
27.09.2021

за 4 кг багажа.

Пошаговое объяснение:

находим общий вес всего багажа:

5+12+7=24

и вычитаем из общего веса, бесплатный вес багажа:

24-20= 4

4 кг получается.

Кстати, для справки.

в средней школе на физике вам объяснят что вес не равен массе, потому что вес вообще измеряется в Ньютонах, а масса в килограммах. Вес показывает на сколько сильно какой то предмет давит на другой предмет, если же давить на на что (например если ты падаешь) то и вес твой будет равен нулю, то есть если ты не будешь давить на весы то они будут показывать ноль))

ещё вес зависит от того на какой планете ты находишься, на Луне или на Марсе твой вес был бы значительно меньше чем на нашей Земле из-за того, что Земля тяжелее(точнее обладает большей массой) чем Луна или Марс.

4,4(81 оценок)
Ответ:
Arina1666
Arina1666
27.09.2021

20/9*36/5 =8 (объяснение 1-5)

11/12*36/5=33/5=6 целых 3/5 (объяснение 6-9)

36/5*7/4=64/5=12целых 4/5(обьяснение 10-11)

8/1+3/5=43/5

40/5+3/5=43/5(обьяснение 12-13)

43/5-4/5=39/5(объяснение 14)

получается что 2 2/9 * 7 1/5 + 11/12 * 7 1/5 - 7 1/5 * 1 /34=39/5

Пошаговое объяснение:

1) превращаем целые части в дробь

получилось 20/9

2)делаем также со вторым

получилось 36/5

3)сокращаем дроби

(36:9=4 тоесть зачекиваем 9 и пишем 1, а потом зачекиваем 36 и пишем 4)

4)делаем также с 20 и 5(тоесть вместо 5 зачеркиваете и пишете 1, а вместо 20 пишите 4

5)умножаем 4 на 4 без дробной части ведь 1 нам не нужна

6)делаем всё тоже самое со следующеми цислами

7)делим 36 на 12, потом пишем вместо 12 1, а вместо 36 пишем 3

8)умножаем

9)делаем целую часть (она должна делиться, а все остальное остаток тоесть дробная часть)

10) здесь мы также делим (пишем вместо 36 9, а вместо 4 1)

11) ищем целую часть

12)делаем из 8 дробь

13) перемножаем чтобы нижние числа были ожинаковыми

14)плюсуем то что получилось

15) тут просто минусуем

4,8(63 оценок)
Это интересно:
Новые ответы от MOGZ: Математика
logo
Вход Регистрация
Что ты хочешь узнать?
Спроси Mozg
Открыть лучший ответ