М
Молодежь
К
Компьютеры-и-электроника
Д
Дом-и-сад
С
Стиль-и-уход-за-собой
П
Праздники-и-традиции
Т
Транспорт
П
Путешествия
С
Семейная-жизнь
Ф
Философия-и-религия
Б
Без категории
М
Мир-работы
Х
Хобби-и-рукоделие
И
Искусство-и-развлечения
В
Взаимоотношения
З
Здоровье
К
Кулинария-и-гостеприимство
Ф
Финансы-и-бизнес
П
Питомцы-и-животные
О
Образование
О
Образование-и-коммуникации
Ayashka11
Ayashka11
28.05.2022 21:01 •  Математика

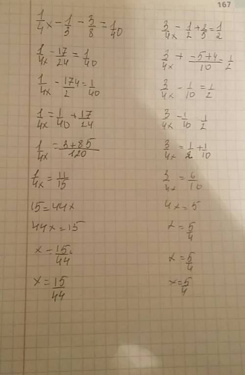
Нужно 5 класс решите уравнения: 1/6 дробная черта 1/4х-1/3-3/8=1/40 1/4 дробная черта 3/4х-1/2+2/5=1/2

👇
Ответ:
ответ:1)х=15/44 2)х=5/4
Нужно 5 класс решите уравнения: 1/6 дробная черта 1/4х-1/3-3/8=1/40 1/4 дробная черта 3/4х-1/2+2/5=1
4,7(11 оценок)
Открыть все ответы
Ответ:
Ренчик223
Ренчик223
28.05.2022
В мире много красивых и замечательных мест. В каждом из них есть своя прелесть, будь то необитаемый остров, жаркая пустыня или холодный Север. Каждый год летом мы с родителями ездим куда-нибудь отдыхать. Я уже побывал на Черном море, в Черногории и Абхазии. Но больше всего я мечтаю побывать в Греции.

  Мне кажется, что это одна самых красивейших стран мира. Я люблю читать мифы Древней Греции, и поэтому моя мечта - побывать там. Теплое ласковое море, белоснежный песок, достопримечательности, известные на весь мир, знаменитые сиртаки, мезе, оливки – все это я мечтаю увидеть и попробовать. Греция славится древнейшими памятниками архитектуры, культуры и искусства. Кроме этого, мне интересно посмотреть на иностранцев, на другую страну, на то, как они себя ведут, как разговаривают.

  Когда я поеду в Грецию, я обязательно возьму с собой фотоаппарат, сделаю много-много снимков на фоне достопримечательностей. А потом буду пересматривать их и вспоминать самые приятные моменты каникул. 

  Любое путешествие, даже просто в соседний город, это всегда буря положительных эмоций и впечатлений, это новые друзья. Мне нравится бывать в разных местах, смотреть на другие города. Даже просто смотреть на дорогу из окна.
4,7(42 оценок)
Ответ:
zyzae
zyzae
28.05.2022
При делении с остатком остаток всегда должен быть меньше делителя. Чтобы проверить деление с остатком, надо неполное частное умножить на делитель и прибавить остаток. Если результат равен делимому - деление выполнено верно.

Вторая строка в каждом примере - проверка.

643 : 59 = 10 (53 ост.)
10 × 59 + 53 = 643

545 : 27 = 20 (5 ост.)
20 × 27 + 5 = 545

841 : 65 = 12 (61 ост.)
12 × 65 + 61 = 841

732 : 43 = 17 (1 ост.)
17 × 43 + 1 = 732

4459 : 57 = 78 (13 ост.)
78 × 57 + 13 = 4459

2279 : 35 = 65 (4 ост.)
65 × 35 + 4 = 2279
4,5(60 оценок)
Это интересно:
Новые ответы от MOGZ: Математика
logo
Вход Регистрация
Что ты хочешь узнать?
Спроси Mozg
Открыть лучший ответ