М
Молодежь
К
Компьютеры-и-электроника
Д
Дом-и-сад
С
Стиль-и-уход-за-собой
П
Праздники-и-традиции
Т
Транспорт
П
Путешествия
С
Семейная-жизнь
Ф
Философия-и-религия
Б
Без категории
М
Мир-работы
Х
Хобби-и-рукоделие
И
Искусство-и-развлечения
В
Взаимоотношения
З
Здоровье
К
Кулинария-и-гостеприимство
Ф
Финансы-и-бизнес
П
Питомцы-и-животные
О
Образование
О
Образование-и-коммуникации
nastya892968060
nastya892968060
25.07.2020 16:20 •  Математика

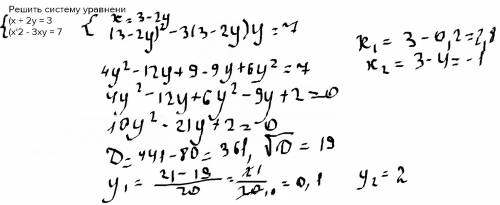
Решить систему уравнени (x + 2y = 3 (x'2 - 3xy = 7

👇
Ответ:
greennattea
greennattea
25.07.2020
Система во вложении.....
Решить систему уравнени (x + 2y = 3 (x'2 - 3xy = 7
4,5(45 оценок)
Открыть все ответы
Ответ:
поолра
поолра
25.07.2020

12 и 32 - числа, которые получаются при  делении числа 44 на части, обратно пропорциональные числам 2/3 и 1/4

Пошаговое объяснение:

Чтобы разделить любое число на части, обратно пропорционально данным числам, нужно разделить это число на части, прямо пропорционально числам, обратным данным.

Числа, обратно пропорциональные числам 2/3 и 1/4 - 3/2 и 4/1 или 4.

Найдём сумму этих чисел: 3/2 + 4/1 = 11/2

Тогда искомые части будут равны:

44 : 11/2 * 3/2 = 44*2*3/11*2 = 4*3 = 12

44 : 11/2 * 4 = 44*2*4/11 = 4*8 = 32

4,5(46 оценок)
Ответ:
Victoria200188
Victoria200188
25.07.2020

Пошаговое объяснение:

№ 65

1/17 < 4/51        5/17 > 4/51 не верно      - 5/17 < 4/51  верно

1/65 < 8/13       5/65 < 8/13 верно          - 5/65 < 8/13  верно

0/5 < 3/15        5/5 > 3/15 не верно       - 5/5 < 3/15 верно

№ 40

  27                      27

= = 0,45

3 * 5 * 2 * 2         60

    77           77         1        7           1         1          1            1

= * = * = * =   = 0,1

22 * 35       22        35      2        35         2         5          10

  63        63       1        7       1         1

= * = * = = 0,2

7 * 45     45       7        5       7        5

4,8(45 оценок)
Это интересно:
Новые ответы от MOGZ: Математика

MOGZ ответил

Полный доступ к MOGZ
Живи умнее Безлимитный доступ к MOGZ Оформи подписку
logo
Вход Регистрация
Что ты хочешь узнать?
Спроси Mozg
Открыть лучший ответ