М
Молодежь
К
Компьютеры-и-электроника
Д
Дом-и-сад
С
Стиль-и-уход-за-собой
П
Праздники-и-традиции
Т
Транспорт
П
Путешествия
С
Семейная-жизнь
Ф
Философия-и-религия
Б
Без категории
М
Мир-работы
Х
Хобби-и-рукоделие
И
Искусство-и-развлечения
В
Взаимоотношения
З
Здоровье
К
Кулинария-и-гостеприимство
Ф
Финансы-и-бизнес
П
Питомцы-и-животные
О
Образование
О
Образование-и-коммуникации
glebshestopal
glebshestopal
02.09.2021 06:08 •  Математика

(x-3): 2=16: 3 решите забыл как решать

👇
Ответ:
MiliitVel1
MiliitVel1
02.09.2021
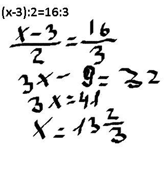
(x-3):2=16:3  
(х-3)*3=2*16
3х-9=32
3х=32+9
3х=41
х= 13 \frac{2}{3}
4,5(38 оценок)
Ответ:
юлия1924
юлия1924
02.09.2021
Решение во вложении......
(x-3): 2=16: 3 решите забыл как решать
4,4(12 оценок)
Открыть все ответы
Ответ:
Hasky12
Hasky12
02.09.2021

5

Пошаговое объяснение:

Начинаем заполнять строку, в которой больше всего стоит цифр, учитывая знаки неравенства.

Т.е. во второй строке, где _>_ 3 1 _ , не хватает 2,4,5. Первой не может стоять 2, т.к. 2 меньше и 5 и 4, и не может стоять 4, т.к. в первом столбце уже есть 4. Значит первой будет идти 5. Получаем 5>_ 3 1 _ .

Смотрим, что вторая цифра этой второй строки может быть только 4 или 2. Тогда под ней, во второй  цифре третьей строки может стоять только 1, т.к. его нелзя поставить ни в первой строке во второй цифре: 1 не может быть больше ни какой цифры, и аналогично нельзя 1 ставить в последней строке второй цифрой: там тоже знак больше.

Дальше надо проанализировать, какие варианты возможны в левом нижнем углу: там 3 знака, и в первом столбце уже две цифры, и записать варианты на полях. В л.н.углу могут стоять только 2 или 1, т.к. в первом столбце не хватает 1,2,3, а 3 не может быть в л.н.углу, т.к. 3 больше и 2 и 1, и знаки не сойдутся.

Получили:

_  _  _  _  _  

5  _  3  1   _  вторая цифра только 4 или 2

4   1  _  _  _

_  5  _  _  _  первая цифра 3 или 2

_  _  _  _  _  первая цифра 1 или 2

и так далее.


Заполните клетки числами , учитывая знаки неравенства так, чтобы в каждой строке и в каждом столбце
4,4(47 оценок)
Ответ:
камилла731
камилла731
02.09.2021

минимум 7 мушкетёров

Пошаговое объяснение:

Любой мушкетер одновременно в хороводе может быть рядом максимально с 2мя принцессами

То есть только 2 девочки могут сказать, что конкретный мушкетер рядом с ней. А 2 девочки плюс 1 мальчик - это три человека. Т.е. на каждые 3 человека минимум 1 мушкетер.

19 = 18 + 1 = 6•3 + 1

т.е. имеем

19 человек - это 6 "полных троек" (18 человек, из них 6 мальчиков) плюс 1 человек. Девочкой 19й человек быть не может (для этого человека нет свободного "мушкетера").

Значит, это - мальчик.

То есть всего минимально возможное количество мальчиков-мушкетеров равно

6+1 = 7

4,5(37 оценок)
Новые ответы от MOGZ: Математика
logo
Вход Регистрация
Что ты хочешь узнать?
Спроси Mozg
Открыть лучший ответ