М
Молодежь
К
Компьютеры-и-электроника
Д
Дом-и-сад
С
Стиль-и-уход-за-собой
П
Праздники-и-традиции
Т
Транспорт
П
Путешествия
С
Семейная-жизнь
Ф
Философия-и-религия
Б
Без категории
М
Мир-работы
Х
Хобби-и-рукоделие
И
Искусство-и-развлечения
В
Взаимоотношения
З
Здоровье
К
Кулинария-и-гостеприимство
Ф
Финансы-и-бизнес
П
Питомцы-и-животные
О
Образование
О
Образование-и-коммуникации
lizarodkina
lizarodkina
31.03.2021 17:29 •  Математика

Заранее огромное . площадь параллелограмма abcd равна 104. точка e середина стороны ab. найдите площадь треугольника cbe.

👇
Ответ:
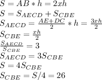
Дано: ABCD параллелограмм, S=104, AE=EB
Найти: S(CBE)
Решение:
S = AB*h=2xh\\S=S_{AECD}+S_{CBE}\\S_{AECD}=\frac{AE+DC}{2}*h=\frac{3xh}{2}\\S_{CBE}=\frac{xh}{2}\\\frac{S_{AECD}}{S_{CBE}}=3
\\S_{AECD}=3S_{CBE}\\S=4S_{CBE}\\S_{CBE}=S/4=26

Заранее огромное . площадь параллелограмма abcd равна 104. точка e середина стороны ab. найдите площ
4,6(30 оценок)
Открыть все ответы
Ответ:
vanek58
vanek58
31.03.2021

Нам предложили порассуждать на очень интересную на тему: как математика мир?

   Математика как одна из точных, сложных, а самое главное полезных и раскрывающих большой кругозор наук. Математика требует серьёзное и бережное отношение к себе, в плане изучения данного предмета. Для её изучения человек тратит очень много времени, изучая, и познавая её мир. В ходе этого, он развивает в себе: мышление получения точного результата т.к. это точная наука.

  Как сказал Пифагор Самосский - << Как математик я всю жизнь искал числовое выражение красивым соотношениям, которое определяет всеобщую гармонию мира>>.

   Подводя вывод хочется сказать, что математика мир своей сложностью мышления, и выработки мышления, и состредоточенности в человеке. Что означает то, что человек выполняя работу пытается * Думать, размышлять*, придовая своей работе гармонию.

Сразу скажу соре если есть ошибки, старался.

4,4(68 оценок)
Ответ:
Насятя28
Насятя28
31.03.2021

Пошаговое объяснение:

Среднее арифметическое ряда чисел – это сумма данных чисел, поделенная на количество слагаемых. Среднее арифметическое называют средним значением числового ряда.

(10 + 12 + 15 + 20 + 15 + 14+ 19) : 7 = 105 : 7 = 15

Среднее арифметическое ряда: 15

Мода ряда чисел – это число, которое встречается в данном ряду чаще других.

10, 12, 15, 20, 15, 14, 19

Мода числового ряда: 15

Размах ряда чисел – это разность между наибольшим и наименьшим из этих чисел.

10, 12, 15, 20, 15, 14, 19

Наибольшее число здесь 20, наименьшее 10. Значит, размах составляет 10, т.е.: 20 – 10 = 10

Размах ряда чисел: 10.

Медиана нечетного количества чисел – это число, записанное посередине.

Медианой произвольного ряда чисел называется медиана соответствующего упорядоченного ряда.

В упорядоченном ряде чисел, медиана нечетного количества чисел – это число, записанное посередине.

Произвольный ряд 10, 12, 15, 20, 15, 14, 19, сделаем упорядоченным рядом 10, 12, 14, 15, 15, 19, 20.

Медиана ряда чисел: 15.

4,8(69 оценок)
Это интересно:
Новые ответы от MOGZ: Математика
logo
Вход Регистрация
Что ты хочешь узнать?
Спроси Mozg
Открыть лучший ответ