М
Молодежь
К
Компьютеры-и-электроника
Д
Дом-и-сад
С
Стиль-и-уход-за-собой
П
Праздники-и-традиции
Т
Транспорт
П
Путешествия
С
Семейная-жизнь
Ф
Философия-и-религия
Б
Без категории
М
Мир-работы
Х
Хобби-и-рукоделие
И
Искусство-и-развлечения
В
Взаимоотношения
З
Здоровье
К
Кулинария-и-гостеприимство
Ф
Финансы-и-бизнес
П
Питомцы-и-животные
О
Образование
О
Образование-и-коммуникации
ЛиляОлье1
ЛиляОлье1
18.04.2022 10:29 •  Математика

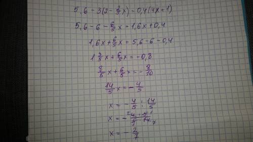
Уравнение: 5,6 - 3(2-2/5х) =0,4(4х+1)

👇
Ответ:
mehrobjr1
mehrobjr1
18.04.2022
ответ............................
Уравнение: 5,6 - 3(2-2/5х) =0,4(4х+1)
4,8(80 оценок)
Открыть все ответы
Ответ:
ridvanmemetov41
ridvanmemetov41
18.04.2022
1. скорость Тани 160м/мин
ей нужно было пробежать до варежки 240м
на это у нее ушло = 240/160=1,5минуты

2. За это время 1,5 минуты Коля ушел на  х м.
его скорость 80 м/мин, значит
80*1,5=120м

3. Тане надо еще догнать Колю, и пробежать столько, чтобы сравняться с Колей.
Коля начинает движение с отметки 120м, так как уже ушел туда, пока Таня бежала за Варежкой. А Таня от варежки, с отметки 0 м.
Поэтому:
через 1 минуту = Коля 120+80=200м, Таня 0+160=160м
через 0,5 минуты = Коля 200+40=240м, Таня 160+80=240м

4. Таня бежала за варежкой 1,5 минуты, и потом еще 1,5 минуты за Колей. Всего 3 минуты ей потребуется.

ответ: 3 минуты.
4,6(52 оценок)
Ответ:
marina0510251
marina0510251
18.04.2022
1. скорость Тани 160м/мин
ей нужно было пробежать до варежки 240м
на это у нее ушло = 240/160=1,5минуты

2. За это время 1,5 минуты Коля ушел на  х м.
его скорость 80 м/мин, значит
80*1,5=120м

3. Тане надо еще догнать Колю, и пробежать столько, чтобы сравняться с Колей.
Коля начинает движение с отметки 120м, так как уже ушел туда, пока Таня бежала за Варежкой. А Таня от варежки, с отметки 0 м.
Поэтому:
через 1 минуту = Коля 120+80=200м, Таня 0+160=160м
через 0,5 минуты = Коля 200+40=240м, Таня 160+80=240м

4. Таня бежала за варежкой 1,5 минуты, и потом еще 1,5 минуты за Колей. Всего 3 минуты ей потребуется.

ответ: 3 минуты.
4,4(30 оценок)
Это интересно:
Новые ответы от MOGZ: Математика
logo
Вход Регистрация
Что ты хочешь узнать?
Спроси Mozg
Открыть лучший ответ